NewtonCotesDerivation.mws

Simpson's Rule (interpolating quadratic polynomials)

>    CurveFitting:-PolynomialInterpolation( [a, a+h, a+2*h], [f(a), f(a+h), f(b)], x );

1/2*(f(b)-2*f(a+h)+f(a))/h^2*x^2+1/2*(4*f(a+h)*a-3*f(a)*h-2*f(b)*a-f(b)*h+4*f(a+h)*h-2*f(a)*a)/h^2*x+1/2*(f(b)*h*a+3*f(a)*a*h+f(b)*a^2-2*f(a+h)*a^2+f(a)*a^2-4*f(a+h)*a*h+2*f(a)*h^2)/h^2
1/2*(f(b)-2*f(a+h)+f(a))/h^2*x^2+1/2*(4*f(a+h)*a-3*f(a)*h-2*f(b)*a-f(b)*h+4*f(a+h)*h-2*f(a)*a)/h^2*x+1/2*(f(b)*h*a+3*f(a)*a*h+f(b)*a^2-2*f(a+h)*a^2+f(a)*a^2-4*f(a+h)*a*h+2*f(a)*h^2)/h^2

>    int( %, x = a..a+2*h );

1/6*(f(b)-2*f(a+h)+f(a))/h^2*((a+2*h)^3-a^3)+1/4*(4*f(a+h)*a-3*f(a)*h-2*f(b)*a-f(b)*h+4*f(a+h)*h-2*f(a)*a)/h^2*((a+2*h)^2-a^2)+(f(b)*h*a+3*f(a)*a*h+f(b)*a^2-2*f(a+h)*a^2+f(a)*a^2-4*f(a+h)*a*h+2*f(a)*h^...
1/6*(f(b)-2*f(a+h)+f(a))/h^2*((a+2*h)^3-a^3)+1/4*(4*f(a+h)*a-3*f(a)*h-2*f(b)*a-f(b)*h+4*f(a+h)*h-2*f(a)*a)/h^2*((a+2*h)^2-a^2)+(f(b)*h*a+3*f(a)*a*h+f(b)*a^2-2*f(a+h)*a^2+f(a)*a^2-4*f(a+h)*a*h+2*f(a)*h^...

>    simplify( %, size );

1/3*(f(a)+4*f(a+h)+f(b))*h

Simpson's 3/8 Rule (interpolating cubic polynomials)

>    CurveFitting:-PolynomialInterpolation( [a, a+h, a+2*h, a+3*h], [f(a), f(a+h), f(a+2*h), f(b)], x );

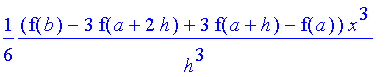
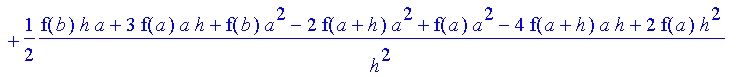
1/6*1/h^3*(f(b)-3*f(a+2*h)+3*f(a+h)-f(a))*x^3+1/6*1/h^3*(-3*f(b)*h-9*f(a+h)*a+12*f(a+2*h)*h+9*f(a+2*h)*a-3*f(b)*a-15*f(a+h)*h+6*f(a)*h+3*f(a)*a)*x^2+1/6*1/h^3*(6*f(b)*h*a+2*f(b)*h^2+18*f(a+h)*h^2+30*f(...
1/6*1/h^3*(f(b)-3*f(a+2*h)+3*f(a+h)-f(a))*x^3+1/6*1/h^3*(-3*f(b)*h-9*f(a+h)*a+12*f(a+2*h)*h+9*f(a+2*h)*a-3*f(b)*a-15*f(a+h)*h+6*f(a)*h+3*f(a)*a)*x^2+1/6*1/h^3*(6*f(b)*h*a+2*f(b)*h^2+18*f(a+h)*h^2+30*f(...
1/6*1/h^3*(f(b)-3*f(a+2*h)+3*f(a+h)-f(a))*x^3+1/6*1/h^3*(-3*f(b)*h-9*f(a+h)*a+12*f(a+2*h)*h+9*f(a+2*h)*a-3*f(b)*a-15*f(a+h)*h+6*f(a)*h+3*f(a)*a)*x^2+1/6*1/h^3*(6*f(b)*h*a+2*f(b)*h^2+18*f(a+h)*h^2+30*f(...
1/6*1/h^3*(f(b)-3*f(a+2*h)+3*f(a+h)-f(a))*x^3+1/6*1/h^3*(-3*f(b)*h-9*f(a+h)*a+12*f(a+2*h)*h+9*f(a+2*h)*a-3*f(b)*a-15*f(a+h)*h+6*f(a)*h+3*f(a)*a)*x^2+1/6*1/h^3*(6*f(b)*h*a+2*f(b)*h^2+18*f(a+h)*h^2+30*f(...
1/6*1/h^3*(f(b)-3*f(a+2*h)+3*f(a+h)-f(a))*x^3+1/6*1/h^3*(-3*f(b)*h-9*f(a+h)*a+12*f(a+2*h)*h+9*f(a+2*h)*a-3*f(b)*a-15*f(a+h)*h+6*f(a)*h+3*f(a)*a)*x^2+1/6*1/h^3*(6*f(b)*h*a+2*f(b)*h^2+18*f(a+h)*h^2+30*f(...

>    int( %, x = a..a+3*h );

1/24*1/h^3*(f(b)-3*f(a+2*h)+3*f(a+h)-f(a))*((a+3*h)^4-a^4)+1/18*1/h^3*(-3*f(b)*h-9*f(a+h)*a+12*f(a+2*h)*h+9*f(a+2*h)*a-3*f(b)*a-15*f(a+h)*h+6*f(a)*h+3*f(a)*a)*((a+3*h)^3-a^3)+1/12*1/h^3*(6*f(b)*h*a+2*f...
1/24*1/h^3*(f(b)-3*f(a+2*h)+3*f(a+h)-f(a))*((a+3*h)^4-a^4)+1/18*1/h^3*(-3*f(b)*h-9*f(a+h)*a+12*f(a+2*h)*h+9*f(a+2*h)*a-3*f(b)*a-15*f(a+h)*h+6*f(a)*h+3*f(a)*a)*((a+3*h)^3-a^3)+1/12*1/h^3*(6*f(b)*h*a+2*f...
1/24*1/h^3*(f(b)-3*f(a+2*h)+3*f(a+h)-f(a))*((a+3*h)^4-a^4)+1/18*1/h^3*(-3*f(b)*h-9*f(a+h)*a+12*f(a+2*h)*h+9*f(a+2*h)*a-3*f(b)*a-15*f(a+h)*h+6*f(a)*h+3*f(a)*a)*((a+3*h)^3-a^3)+1/12*1/h^3*(6*f(b)*h*a+2*f...
1/24*1/h^3*(f(b)-3*f(a+2*h)+3*f(a+h)-f(a))*((a+3*h)^4-a^4)+1/18*1/h^3*(-3*f(b)*h-9*f(a+h)*a+12*f(a+2*h)*h+9*f(a+2*h)*a-3*f(b)*a-15*f(a+h)*h+6*f(a)*h+3*f(a)*a)*((a+3*h)^3-a^3)+1/12*1/h^3*(6*f(b)*h*a+2*f...
1/24*1/h^3*(f(b)-3*f(a+2*h)+3*f(a+h)-f(a))*((a+3*h)^4-a^4)+1/18*1/h^3*(-3*f(b)*h-9*f(a+h)*a+12*f(a+2*h)*h+9*f(a+2*h)*a-3*f(b)*a-15*f(a+h)*h+6*f(a)*h+3*f(a)*a)*((a+3*h)^3-a^3)+1/12*1/h^3*(6*f(b)*h*a+2*f...

>    simplify( %, size );

3/8*(f(a)+3*f(a+h)+3*f(a+2*h)+f(b))*h

Boole's Rule (interpolating quartic polynomials)

>    CurveFitting:-PolynomialInterpolation( [a, a+h, a+2*h, a+3*h, a+4*h], [f(a), f(a+h), f(a+2*h), f(a+3*h), f(b)], x );

-1/24*1/h^4*(-f(b)+4*f(a+3*h)-6*f(a+2*h)-f(a)+4*f(a+h))*x^4-1/24*1/h^4*(6*f(b)*h-28*f(a+3*h)*h-16*f(a+3*h)*a+4*f(b)*a+24*f(a+2*h)*a+48*f(a+2*h)*h-36*f(a+h)*h+10*f(a)*h+4*f(a)*a-16*f(a+h)*a)*x^3-1/24*1/...
-1/24*1/h^4*(-f(b)+4*f(a+3*h)-6*f(a+2*h)-f(a)+4*f(a+h))*x^4-1/24*1/h^4*(6*f(b)*h-28*f(a+3*h)*h-16*f(a+3*h)*a+4*f(b)*a+24*f(a+2*h)*a+48*f(a+2*h)*h-36*f(a+h)*h+10*f(a)*h+4*f(a)*a-16*f(a+h)*a)*x^3-1/24*1/...
-1/24*1/h^4*(-f(b)+4*f(a+3*h)-6*f(a+2*h)-f(a)+4*f(a+h))*x^4-1/24*1/h^4*(6*f(b)*h-28*f(a+3*h)*h-16*f(a+3*h)*a+4*f(b)*a+24*f(a+2*h)*a+48*f(a+2*h)*h-36*f(a+h)*h+10*f(a)*h+4*f(a)*a-16*f(a+h)*a)*x^3-1/24*1/...
-1/24*1/h^4*(-f(b)+4*f(a+3*h)-6*f(a+2*h)-f(a)+4*f(a+h))*x^4-1/24*1/h^4*(6*f(b)*h-28*f(a+3*h)*h-16*f(a+3*h)*a+4*f(b)*a+24*f(a+2*h)*a+48*f(a+2*h)*h-36*f(a+h)*h+10*f(a)*h+4*f(a)*a-16*f(a+h)*a)*x^3-1/24*1/...
-1/24*1/h^4*(-f(b)+4*f(a+3*h)-6*f(a+2*h)-f(a)+4*f(a+h))*x^4-1/24*1/h^4*(6*f(b)*h-28*f(a+3*h)*h-16*f(a+3*h)*a+4*f(b)*a+24*f(a+2*h)*a+48*f(a+2*h)*h-36*f(a+h)*h+10*f(a)*h+4*f(a)*a-16*f(a+h)*a)*x^3-1/24*1/...
-1/24*1/h^4*(-f(b)+4*f(a+3*h)-6*f(a+2*h)-f(a)+4*f(a+h))*x^4-1/24*1/h^4*(6*f(b)*h-28*f(a+3*h)*h-16*f(a+3*h)*a+4*f(b)*a+24*f(a+2*h)*a+48*f(a+2*h)*h-36*f(a+h)*h+10*f(a)*h+4*f(a)*a-16*f(a+h)*a)*x^3-1/24*1/...
-1/24*1/h^4*(-f(b)+4*f(a+3*h)-6*f(a+2*h)-f(a)+4*f(a+h))*x^4-1/24*1/h^4*(6*f(b)*h-28*f(a+3*h)*h-16*f(a+3*h)*a+4*f(b)*a+24*f(a+2*h)*a+48*f(a+2*h)*h-36*f(a+h)*h+10*f(a)*h+4*f(a)*a-16*f(a+h)*a)*x^3-1/24*1/...
-1/24*1/h^4*(-f(b)+4*f(a+3*h)-6*f(a+2*h)-f(a)+4*f(a+h))*x^4-1/24*1/h^4*(6*f(b)*h-28*f(a+3*h)*h-16*f(a+3*h)*a+4*f(b)*a+24*f(a+2*h)*a+48*f(a+2*h)*h-36*f(a+h)*h+10*f(a)*h+4*f(a)*a-16*f(a+h)*a)*x^3-1/24*1/...
-1/24*1/h^4*(-f(b)+4*f(a+3*h)-6*f(a+2*h)-f(a)+4*f(a+h))*x^4-1/24*1/h^4*(6*f(b)*h-28*f(a+3*h)*h-16*f(a+3*h)*a+4*f(b)*a+24*f(a+2*h)*a+48*f(a+2*h)*h-36*f(a+h)*h+10*f(a)*h+4*f(a)*a-16*f(a+h)*a)*x^3-1/24*1/...

>    int( %, x = a..a+4*h );

-1/120*1/h^4*(-f(b)+4*f(a+3*h)-6*f(a+2*h)-f(a)+4*f(a+h))*((a+4*h)^5-a^5)-1/96*1/h^4*(6*f(b)*h-28*f(a+3*h)*h-16*f(a+3*h)*a+4*f(b)*a+24*f(a+2*h)*a+48*f(a+2*h)*h-36*f(a+h)*h+10*f(a)*h+4*f(a)*a-16*f(a+h)*a...
-1/120*1/h^4*(-f(b)+4*f(a+3*h)-6*f(a+2*h)-f(a)+4*f(a+h))*((a+4*h)^5-a^5)-1/96*1/h^4*(6*f(b)*h-28*f(a+3*h)*h-16*f(a+3*h)*a+4*f(b)*a+24*f(a+2*h)*a+48*f(a+2*h)*h-36*f(a+h)*h+10*f(a)*h+4*f(a)*a-16*f(a+h)*a...
-1/120*1/h^4*(-f(b)+4*f(a+3*h)-6*f(a+2*h)-f(a)+4*f(a+h))*((a+4*h)^5-a^5)-1/96*1/h^4*(6*f(b)*h-28*f(a+3*h)*h-16*f(a+3*h)*a+4*f(b)*a+24*f(a+2*h)*a+48*f(a+2*h)*h-36*f(a+h)*h+10*f(a)*h+4*f(a)*a-16*f(a+h)*a...
-1/120*1/h^4*(-f(b)+4*f(a+3*h)-6*f(a+2*h)-f(a)+4*f(a+h))*((a+4*h)^5-a^5)-1/96*1/h^4*(6*f(b)*h-28*f(a+3*h)*h-16*f(a+3*h)*a+4*f(b)*a+24*f(a+2*h)*a+48*f(a+2*h)*h-36*f(a+h)*h+10*f(a)*h+4*f(a)*a-16*f(a+h)*a...
-1/120*1/h^4*(-f(b)+4*f(a+3*h)-6*f(a+2*h)-f(a)+4*f(a+h))*((a+4*h)^5-a^5)-1/96*1/h^4*(6*f(b)*h-28*f(a+3*h)*h-16*f(a+3*h)*a+4*f(b)*a+24*f(a+2*h)*a+48*f(a+2*h)*h-36*f(a+h)*h+10*f(a)*h+4*f(a)*a-16*f(a+h)*a...
-1/120*1/h^4*(-f(b)+4*f(a+3*h)-6*f(a+2*h)-f(a)+4*f(a+h))*((a+4*h)^5-a^5)-1/96*1/h^4*(6*f(b)*h-28*f(a+3*h)*h-16*f(a+3*h)*a+4*f(b)*a+24*f(a+2*h)*a+48*f(a+2*h)*h-36*f(a+h)*h+10*f(a)*h+4*f(a)*a-16*f(a+h)*a...
-1/120*1/h^4*(-f(b)+4*f(a+3*h)-6*f(a+2*h)-f(a)+4*f(a+h))*((a+4*h)^5-a^5)-1/96*1/h^4*(6*f(b)*h-28*f(a+3*h)*h-16*f(a+3*h)*a+4*f(b)*a+24*f(a+2*h)*a+48*f(a+2*h)*h-36*f(a+h)*h+10*f(a)*h+4*f(a)*a-16*f(a+h)*a...
-1/120*1/h^4*(-f(b)+4*f(a+3*h)-6*f(a+2*h)-f(a)+4*f(a+h))*((a+4*h)^5-a^5)-1/96*1/h^4*(6*f(b)*h-28*f(a+3*h)*h-16*f(a+3*h)*a+4*f(b)*a+24*f(a+2*h)*a+48*f(a+2*h)*h-36*f(a+h)*h+10*f(a)*h+4*f(a)*a-16*f(a+h)*a...
-1/120*1/h^4*(-f(b)+4*f(a+3*h)-6*f(a+2*h)-f(a)+4*f(a+h))*((a+4*h)^5-a^5)-1/96*1/h^4*(6*f(b)*h-28*f(a+3*h)*h-16*f(a+3*h)*a+4*f(b)*a+24*f(a+2*h)*a+48*f(a+2*h)*h-36*f(a+h)*h+10*f(a)*h+4*f(a)*a-16*f(a+h)*a...
-1/120*1/h^4*(-f(b)+4*f(a+3*h)-6*f(a+2*h)-f(a)+4*f(a+h))*((a+4*h)^5-a^5)-1/96*1/h^4*(6*f(b)*h-28*f(a+3*h)*h-16*f(a+3*h)*a+4*f(b)*a+24*f(a+2*h)*a+48*f(a+2*h)*h-36*f(a+h)*h+10*f(a)*h+4*f(a)*a-16*f(a+h)*a...

>    simplify(%, size);

2/45*h*(7*f(a)+32*f(a+h)+12*f(a+2*h)+32*f(a+3*h)+7*f(b))

11-Point Newton-Cotes Rule

>    CurveFitting:-PolynomialInterpolation( [seq( a + i*h, i = 0..10 )], [seq( f(a + i*h), i = 0..9 ), f(b)], x );

1/3628800*1/h^10*(f(b)-10*f(a+9*h)+45*f(a+8*h)+210*f(a+6*h)+210*f(a+4*h)+45*f(a+2*h)+f(a)-120*f(a+7*h)-252*f(a+5*h)-120*f(a+3*h)-10*f(a+h))*x^10+1/3628800*1/h^10*(-2385*f(a+2*h)*h+460*f(a+9*h)*h-45*f(b...
1/3628800*1/h^10*(f(b)-10*f(a+9*h)+45*f(a+8*h)+210*f(a+6*h)+210*f(a+4*h)+45*f(a+2*h)+f(a)-120*f(a+7*h)-252*f(a+5*h)-120*f(a+3*h)-10*f(a+h))*x^10+1/3628800*1/h^10*(-2385*f(a+2*h)*h+460*f(a+9*h)*h-45*f(b...
1/3628800*1/h^10*(f(b)-10*f(a+9*h)+45*f(a+8*h)+210*f(a+6*h)+210*f(a+4*h)+45*f(a+2*h)+f(a)-120*f(a+7*h)-252*f(a+5*h)-120*f(a+3*h)-10*f(a+h))*x^10+1/3628800*1/h^10*(-2385*f(a+2*h)*h+460*f(a+9*h)*h-45*f(b...
1/3628800*1/h^10*(f(b)-10*f(a+9*h)+45*f(a+8*h)+210*f(a+6*h)+210*f(a+4*h)+45*f(a+2*h)+f(a)-120*f(a+7*h)-252*f(a+5*h)-120*f(a+3*h)-10*f(a+h))*x^10+1/3628800*1/h^10*(-2385*f(a+2*h)*h+460*f(a+9*h)*h-45*f(b...
1/3628800*1/h^10*(f(b)-10*f(a+9*h)+45*f(a+8*h)+210*f(a+6*h)+210*f(a+4*h)+45*f(a+2*h)+f(a)-120*f(a+7*h)-252*f(a+5*h)-120*f(a+3*h)-10*f(a+h))*x^10+1/3628800*1/h^10*(-2385*f(a+2*h)*h+460*f(a+9*h)*h-45*f(b...
1/3628800*1/h^10*(f(b)-10*f(a+9*h)+45*f(a+8*h)+210*f(a+6*h)+210*f(a+4*h)+45*f(a+2*h)+f(a)-120*f(a+7*h)-252*f(a+5*h)-120*f(a+3*h)-10*f(a+h))*x^10+1/3628800*1/h^10*(-2385*f(a+2*h)*h+460*f(a+9*h)*h-45*f(b...
1/3628800*1/h^10*(f(b)-10*f(a+9*h)+45*f(a+8*h)+210*f(a+6*h)+210*f(a+4*h)+45*f(a+2*h)+f(a)-120*f(a+7*h)-252*f(a+5*h)-120*f(a+3*h)-10*f(a+h))*x^10+1/3628800*1/h^10*(-2385*f(a+2*h)*h+460*f(a+9*h)*h-45*f(b...
1/3628800*1/h^10*(f(b)-10*f(a+9*h)+45*f(a+8*h)+210*f(a+6*h)+210*f(a+4*h)+45*f(a+2*h)+f(a)-120*f(a+7*h)-252*f(a+5*h)-120*f(a+3*h)-10*f(a+h))*x^10+1/3628800*1/h^10*(-2385*f(a+2*h)*h+460*f(a+9*h)*h-45*f(b...
1/3628800*1/h^10*(f(b)-10*f(a+9*h)+45*f(a+8*h)+210*f(a+6*h)+210*f(a+4*h)+45*f(a+2*h)+f(a)-120*f(a+7*h)-252*f(a+5*h)-120*f(a+3*h)-10*f(a+h))*x^10+1/3628800*1/h^10*(-2385*f(a+2*h)*h+460*f(a+9*h)*h-45*f(b...
1/3628800*1/h^10*(f(b)-10*f(a+9*h)+45*f(a+8*h)+210*f(a+6*h)+210*f(a+4*h)+45*f(a+2*h)+f(a)-120*f(a+7*h)-252*f(a+5*h)-120*f(a+3*h)-10*f(a+h))*x^10+1/3628800*1/h^10*(-2385*f(a+2*h)*h+460*f(a+9*h)*h-45*f(b...
1/3628800*1/h^10*(f(b)-10*f(a+9*h)+45*f(a+8*h)+210*f(a+6*h)+210*f(a+4*h)+45*f(a+2*h)+f(a)-120*f(a+7*h)-252*f(a+5*h)-120*f(a+3*h)-10*f(a+h))*x^10+1/3628800*1/h^10*(-2385*f(a+2*h)*h+460*f(a+9*h)*h-45*f(b...
1/3628800*1/h^10*(f(b)-10*f(a+9*h)+45*f(a+8*h)+210*f(a+6*h)+210*f(a+4*h)+45*f(a+2*h)+f(a)-120*f(a+7*h)-252*f(a+5*h)-120*f(a+3*h)-10*f(a+h))*x^10+1/3628800*1/h^10*(-2385*f(a+2*h)*h+460*f(a+9*h)*h-45*f(b...
1/3628800*1/h^10*(f(b)-10*f(a+9*h)+45*f(a+8*h)+210*f(a+6*h)+210*f(a+4*h)+45*f(a+2*h)+f(a)-120*f(a+7*h)-252*f(a+5*h)-120*f(a+3*h)-10*f(a+h))*x^10+1/3628800*1/h^10*(-2385*f(a+2*h)*h+460*f(a+9*h)*h-45*f(b...
1/3628800*1/h^10*(f(b)-10*f(a+9*h)+45*f(a+8*h)+210*f(a+6*h)+210*f(a+4*h)+45*f(a+2*h)+f(a)-120*f(a+7*h)-252*f(a+5*h)-120*f(a+3*h)-10*f(a+h))*x^10+1/3628800*1/h^10*(-2385*f(a+2*h)*h+460*f(a+9*h)*h-45*f(b...
1/3628800*1/h^10*(f(b)-10*f(a+9*h)+45*f(a+8*h)+210*f(a+6*h)+210*f(a+4*h)+45*f(a+2*h)+f(a)-120*f(a+7*h)-252*f(a+5*h)-120*f(a+3*h)-10*f(a+h))*x^10+1/3628800*1/h^10*(-2385*f(a+2*h)*h+460*f(a+9*h)*h-45*f(b...
1/3628800*1/h^10*(f(b)-10*f(a+9*h)+45*f(a+8*h)+210*f(a+6*h)+210*f(a+4*h)+45*f(a+2*h)+f(a)-120*f(a+7*h)-252*f(a+5*h)-120*f(a+3*h)-10*f(a+h))*x^10+1/3628800*1/h^10*(-2385*f(a+2*h)*h+460*f(a+9*h)*h-45*f(b...
1/3628800*1/h^10*(f(b)-10*f(a+9*h)+45*f(a+8*h)+210*f(a+6*h)+210*f(a+4*h)+45*f(a+2*h)+f(a)-120*f(a+7*h)-252*f(a+5*h)-120*f(a+3*h)-10*f(a+h))*x^10+1/3628800*1/h^10*(-2385*f(a+2*h)*h+460*f(a+9*h)*h-45*f(b...
1/3628800*1/h^10*(f(b)-10*f(a+9*h)+45*f(a+8*h)+210*f(a+6*h)+210*f(a+4*h)+45*f(a+2*h)+f(a)-120*f(a+7*h)-252*f(a+5*h)-120*f(a+3*h)-10*f(a+h))*x^10+1/3628800*1/h^10*(-2385*f(a+2*h)*h+460*f(a+9*h)*h-45*f(b...
1/3628800*1/h^10*(f(b)-10*f(a+9*h)+45*f(a+8*h)+210*f(a+6*h)+210*f(a+4*h)+45*f(a+2*h)+f(a)-120*f(a+7*h)-252*f(a+5*h)-120*f(a+3*h)-10*f(a+h))*x^10+1/3628800*1/h^10*(-2385*f(a+2*h)*h+460*f(a+9*h)*h-45*f(b...
1/3628800*1/h^10*(f(b)-10*f(a+9*h)+45*f(a+8*h)+210*f(a+6*h)+210*f(a+4*h)+45*f(a+2*h)+f(a)-120*f(a+7*h)-252*f(a+5*h)-120*f(a+3*h)-10*f(a+h))*x^10+1/3628800*1/h^10*(-2385*f(a+2*h)*h+460*f(a+9*h)*h-45*f(b...
1/3628800*1/h^10*(f(b)-10*f(a+9*h)+45*f(a+8*h)+210*f(a+6*h)+210*f(a+4*h)+45*f(a+2*h)+f(a)-120*f(a+7*h)-252*f(a+5*h)-120*f(a+3*h)-10*f(a+h))*x^10+1/3628800*1/h^10*(-2385*f(a+2*h)*h+460*f(a+9*h)*h-45*f(b...
1/3628800*1/h^10*(f(b)-10*f(a+9*h)+45*f(a+8*h)+210*f(a+6*h)+210*f(a+4*h)+45*f(a+2*h)+f(a)-120*f(a+7*h)-252*f(a+5*h)-120*f(a+3*h)-10*f(a+h))*x^10+1/3628800*1/h^10*(-2385*f(a+2*h)*h+460*f(a+9*h)*h-45*f(b...
1/3628800*1/h^10*(f(b)-10*f(a+9*h)+45*f(a+8*h)+210*f(a+6*h)+210*f(a+4*h)+45*f(a+2*h)+f(a)-120*f(a+7*h)-252*f(a+5*h)-120*f(a+3*h)-10*f(a+h))*x^10+1/3628800*1/h^10*(-2385*f(a+2*h)*h+460*f(a+9*h)*h-45*f(b...
1/3628800*1/h^10*(f(b)-10*f(a+9*h)+45*f(a+8*h)+210*f(a+6*h)+210*f(a+4*h)+45*f(a+2*h)+f(a)-120*f(a+7*h)-252*f(a+5*h)-120*f(a+3*h)-10*f(a+h))*x^10+1/3628800*1/h^10*(-2385*f(a+2*h)*h+460*f(a+9*h)*h-45*f(b...
1/3628800*1/h^10*(f(b)-10*f(a+9*h)+45*f(a+8*h)+210*f(a+6*h)+210*f(a+4*h)+45*f(a+2*h)+f(a)-120*f(a+7*h)-252*f(a+5*h)-120*f(a+3*h)-10*f(a+h))*x^10+1/3628800*1/h^10*(-2385*f(a+2*h)*h+460*f(a+9*h)*h-45*f(b...
1/3628800*1/h^10*(f(b)-10*f(a+9*h)+45*f(a+8*h)+210*f(a+6*h)+210*f(a+4*h)+45*f(a+2*h)+f(a)-120*f(a+7*h)-252*f(a+5*h)-120*f(a+3*h)-10*f(a+h))*x^10+1/3628800*1/h^10*(-2385*f(a+2*h)*h+460*f(a+9*h)*h-45*f(b...
1/3628800*1/h^10*(f(b)-10*f(a+9*h)+45*f(a+8*h)+210*f(a+6*h)+210*f(a+4*h)+45*f(a+2*h)+f(a)-120*f(a+7*h)-252*f(a+5*h)-120*f(a+3*h)-10*f(a+h))*x^10+1/3628800*1/h^10*(-2385*f(a+2*h)*h+460*f(a+9*h)*h-45*f(b...
1/3628800*1/h^10*(f(b)-10*f(a+9*h)+45*f(a+8*h)+210*f(a+6*h)+210*f(a+4*h)+45*f(a+2*h)+f(a)-120*f(a+7*h)-252*f(a+5*h)-120*f(a+3*h)-10*f(a+h))*x^10+1/3628800*1/h^10*(-2385*f(a+2*h)*h+460*f(a+9*h)*h-45*f(b...
1/3628800*1/h^10*(f(b)-10*f(a+9*h)+45*f(a+8*h)+210*f(a+6*h)+210*f(a+4*h)+45*f(a+2*h)+f(a)-120*f(a+7*h)-252*f(a+5*h)-120*f(a+3*h)-10*f(a+h))*x^10+1/3628800*1/h^10*(-2385*f(a+2*h)*h+460*f(a+9*h)*h-45*f(b...
1/3628800*1/h^10*(f(b)-10*f(a+9*h)+45*f(a+8*h)+210*f(a+6*h)+210*f(a+4*h)+45*f(a+2*h)+f(a)-120*f(a+7*h)-252*f(a+5*h)-120*f(a+3*h)-10*f(a+h))*x^10+1/3628800*1/h^10*(-2385*f(a+2*h)*h+460*f(a+9*h)*h-45*f(b...
1/3628800*1/h^10*(f(b)-10*f(a+9*h)+45*f(a+8*h)+210*f(a+6*h)+210*f(a+4*h)+45*f(a+2*h)+f(a)-120*f(a+7*h)-252*f(a+5*h)-120*f(a+3*h)-10*f(a+h))*x^10+1/3628800*1/h^10*(-2385*f(a+2*h)*h+460*f(a+9*h)*h-45*f(b...
1/3628800*1/h^10*(f(b)-10*f(a+9*h)+45*f(a+8*h)+210*f(a+6*h)+210*f(a+4*h)+45*f(a+2*h)+f(a)-120*f(a+7*h)-252*f(a+5*h)-120*f(a+3*h)-10*f(a+h))*x^10+1/3628800*1/h^10*(-2385*f(a+2*h)*h+460*f(a+9*h)*h-45*f(b...
1/3628800*1/h^10*(f(b)-10*f(a+9*h)+45*f(a+8*h)+210*f(a+6*h)+210*f(a+4*h)+45*f(a+2*h)+f(a)-120*f(a+7*h)-252*f(a+5*h)-120*f(a+3*h)-10*f(a+h))*x^10+1/3628800*1/h^10*(-2385*f(a+2*h)*h+460*f(a+9*h)*h-45*f(b...
1/3628800*1/h^10*(f(b)-10*f(a+9*h)+45*f(a+8*h)+210*f(a+6*h)+210*f(a+4*h)+45*f(a+2*h)+f(a)-120*f(a+7*h)-252*f(a+5*h)-120*f(a+3*h)-10*f(a+h))*x^10+1/3628800*1/h^10*(-2385*f(a+2*h)*h+460*f(a+9*h)*h-45*f(b...
1/3628800*1/h^10*(f(b)-10*f(a+9*h)+45*f(a+8*h)+210*f(a+6*h)+210*f(a+4*h)+45*f(a+2*h)+f(a)-120*f(a+7*h)-252*f(a+5*h)-120*f(a+3*h)-10*f(a+h))*x^10+1/3628800*1/h^10*(-2385*f(a+2*h)*h+460*f(a+9*h)*h-45*f(b...
1/3628800*1/h^10*(f(b)-10*f(a+9*h)+45*f(a+8*h)+210*f(a+6*h)+210*f(a+4*h)+45*f(a+2*h)+f(a)-120*f(a+7*h)-252*f(a+5*h)-120*f(a+3*h)-10*f(a+h))*x^10+1/3628800*1/h^10*(-2385*f(a+2*h)*h+460*f(a+9*h)*h-45*f(b...
1/3628800*1/h^10*(f(b)-10*f(a+9*h)+45*f(a+8*h)+210*f(a+6*h)+210*f(a+4*h)+45*f(a+2*h)+f(a)-120*f(a+7*h)-252*f(a+5*h)-120*f(a+3*h)-10*f(a+h))*x^10+1/3628800*1/h^10*(-2385*f(a+2*h)*h+460*f(a+9*h)*h-45*f(b...
1/3628800*1/h^10*(f(b)-10*f(a+9*h)+45*f(a+8*h)+210*f(a+6*h)+210*f(a+4*h)+45*f(a+2*h)+f(a)-120*f(a+7*h)-252*f(a+5*h)-120*f(a+3*h)-10*f(a+h))*x^10+1/3628800*1/h^10*(-2385*f(a+2*h)*h+460*f(a+9*h)*h-45*f(b...
1/3628800*1/h^10*(f(b)-10*f(a+9*h)+45*f(a+8*h)+210*f(a+6*h)+210*f(a+4*h)+45*f(a+2*h)+f(a)-120*f(a+7*h)-252*f(a+5*h)-120*f(a+3*h)-10*f(a+h))*x^10+1/3628800*1/h^10*(-2385*f(a+2*h)*h+460*f(a+9*h)*h-45*f(b...
1/3628800*1/h^10*(f(b)-10*f(a+9*h)+45*f(a+8*h)+210*f(a+6*h)+210*f(a+4*h)+45*f(a+2*h)+f(a)-120*f(a+7*h)-252*f(a+5*h)-120*f(a+3*h)-10*f(a+h))*x^10+1/3628800*1/h^10*(-2385*f(a+2*h)*h+460*f(a+9*h)*h-45*f(b...
1/3628800*1/h^10*(f(b)-10*f(a+9*h)+45*f(a+8*h)+210*f(a+6*h)+210*f(a+4*h)+45*f(a+2*h)+f(a)-120*f(a+7*h)-252*f(a+5*h)-120*f(a+3*h)-10*f(a+h))*x^10+1/3628800*1/h^10*(-2385*f(a+2*h)*h+460*f(a+9*h)*h-45*f(b...
1/3628800*1/h^10*(f(b)-10*f(a+9*h)+45*f(a+8*h)+210*f(a+6*h)+210*f(a+4*h)+45*f(a+2*h)+f(a)-120*f(a+7*h)-252*f(a+5*h)-120*f(a+3*h)-10*f(a+h))*x^10+1/3628800*1/h^10*(-2385*f(a+2*h)*h+460*f(a+9*h)*h-45*f(b...
1/3628800*1/h^10*(f(b)-10*f(a+9*h)+45*f(a+8*h)+210*f(a+6*h)+210*f(a+4*h)+45*f(a+2*h)+f(a)-120*f(a+7*h)-252*f(a+5*h)-120*f(a+3*h)-10*f(a+h))*x^10+1/3628800*1/h^10*(-2385*f(a+2*h)*h+460*f(a+9*h)*h-45*f(b...
1/3628800*1/h^10*(f(b)-10*f(a+9*h)+45*f(a+8*h)+210*f(a+6*h)+210*f(a+4*h)+45*f(a+2*h)+f(a)-120*f(a+7*h)-252*f(a+5*h)-120*f(a+3*h)-10*f(a+h))*x^10+1/3628800*1/h^10*(-2385*f(a+2*h)*h+460*f(a+9*h)*h-45*f(b...
1/3628800*1/h^10*(f(b)-10*f(a+9*h)+45*f(a+8*h)+210*f(a+6*h)+210*f(a+4*h)+45*f(a+2*h)+f(a)-120*f(a+7*h)-252*f(a+5*h)-120*f(a+3*h)-10*f(a+h))*x^10+1/3628800*1/h^10*(-2385*f(a+2*h)*h+460*f(a+9*h)*h-45*f(b...
1/3628800*1/h^10*(f(b)-10*f(a+9*h)+45*f(a+8*h)+210*f(a+6*h)+210*f(a+4*h)+45*f(a+2*h)+f(a)-120*f(a+7*h)-252*f(a+5*h)-120*f(a+3*h)-10*f(a+h))*x^10+1/3628800*1/h^10*(-2385*f(a+2*h)*h+460*f(a+9*h)*h-45*f(b...
1/3628800*1/h^10*(f(b)-10*f(a+9*h)+45*f(a+8*h)+210*f(a+6*h)+210*f(a+4*h)+45*f(a+2*h)+f(a)-120*f(a+7*h)-252*f(a+5*h)-120*f(a+3*h)-10*f(a+h))*x^10+1/3628800*1/h^10*(-2385*f(a+2*h)*h+460*f(a+9*h)*h-45*f(b...
1/3628800*1/h^10*(f(b)-10*f(a+9*h)+45*f(a+8*h)+210*f(a+6*h)+210*f(a+4*h)+45*f(a+2*h)+f(a)-120*f(a+7*h)-252*f(a+5*h)-120*f(a+3*h)-10*f(a+h))*x^10+1/3628800*1/h^10*(-2385*f(a+2*h)*h+460*f(a+9*h)*h-45*f(b...
1/3628800*1/h^10*(f(b)-10*f(a+9*h)+45*f(a+8*h)+210*f(a+6*h)+210*f(a+4*h)+45*f(a+2*h)+f(a)-120*f(a+7*h)-252*f(a+5*h)-120*f(a+3*h)-10*f(a+h))*x^10+1/3628800*1/h^10*(-2385*f(a+2*h)*h+460*f(a+9*h)*h-45*f(b...
1/3628800*1/h^10*(f(b)-10*f(a+9*h)+45*f(a+8*h)+210*f(a+6*h)+210*f(a+4*h)+45*f(a+2*h)+f(a)-120*f(a+7*h)-252*f(a+5*h)-120*f(a+3*h)-10*f(a+h))*x^10+1/3628800*1/h^10*(-2385*f(a+2*h)*h+460*f(a+9*h)*h-45*f(b...
1/3628800*1/h^10*(f(b)-10*f(a+9*h)+45*f(a+8*h)+210*f(a+6*h)+210*f(a+4*h)+45*f(a+2*h)+f(a)-120*f(a+7*h)-252*f(a+5*h)-120*f(a+3*h)-10*f(a+h))*x^10+1/3628800*1/h^10*(-2385*f(a+2*h)*h+460*f(a+9*h)*h-45*f(b...
1/3628800*1/h^10*(f(b)-10*f(a+9*h)+45*f(a+8*h)+210*f(a+6*h)+210*f(a+4*h)+45*f(a+2*h)+f(a)-120*f(a+7*h)-252*f(a+5*h)-120*f(a+3*h)-10*f(a+h))*x^10+1/3628800*1/h^10*(-2385*f(a+2*h)*h+460*f(a+9*h)*h-45*f(b...
1/3628800*1/h^10*(f(b)-10*f(a+9*h)+45*f(a+8*h)+210*f(a+6*h)+210*f(a+4*h)+45*f(a+2*h)+f(a)-120*f(a+7*h)-252*f(a+5*h)-120*f(a+3*h)-10*f(a+h))*x^10+1/3628800*1/h^10*(-2385*f(a+2*h)*h+460*f(a+9*h)*h-45*f(b...
1/3628800*1/h^10*(f(b)-10*f(a+9*h)+45*f(a+8*h)+210*f(a+6*h)+210*f(a+4*h)+45*f(a+2*h)+f(a)-120*f(a+7*h)-252*f(a+5*h)-120*f(a+3*h)-10*f(a+h))*x^10+1/3628800*1/h^10*(-2385*f(a+2*h)*h+460*f(a+9*h)*h-45*f(b...
1/3628800*1/h^10*(f(b)-10*f(a+9*h)+45*f(a+8*h)+210*f(a+6*h)+210*f(a+4*h)+45*f(a+2*h)+f(a)-120*f(a+7*h)-252*f(a+5*h)-120*f(a+3*h)-10*f(a+h))*x^10+1/3628800*1/h^10*(-2385*f(a+2*h)*h+460*f(a+9*h)*h-45*f(b...
1/3628800*1/h^10*(f(b)-10*f(a+9*h)+45*f(a+8*h)+210*f(a+6*h)+210*f(a+4*h)+45*f(a+2*h)+f(a)-120*f(a+7*h)-252*f(a+5*h)-120*f(a+3*h)-10*f(a+h))*x^10+1/3628800*1/h^10*(-2385*f(a+2*h)*h+460*f(a+9*h)*h-45*f(b...
1/3628800*1/h^10*(f(b)-10*f(a+9*h)+45*f(a+8*h)+210*f(a+6*h)+210*f(a+4*h)+45*f(a+2*h)+f(a)-120*f(a+7*h)-252*f(a+5*h)-120*f(a+3*h)-10*f(a+h))*x^10+1/3628800*1/h^10*(-2385*f(a+2*h)*h+460*f(a+9*h)*h-45*f(b...
1/3628800*1/h^10*(f(b)-10*f(a+9*h)+45*f(a+8*h)+210*f(a+6*h)+210*f(a+4*h)+45*f(a+2*h)+f(a)-120*f(a+7*h)-252*f(a+5*h)-120*f(a+3*h)-10*f(a+h))*x^10+1/3628800*1/h^10*(-2385*f(a+2*h)*h+460*f(a+9*h)*h-45*f(b...
1/3628800*1/h^10*(f(b)-10*f(a+9*h)+45*f(a+8*h)+210*f(a+6*h)+210*f(a+4*h)+45*f(a+2*h)+f(a)-120*f(a+7*h)-252*f(a+5*h)-120*f(a+3*h)-10*f(a+h))*x^10+1/3628800*1/h^10*(-2385*f(a+2*h)*h+460*f(a+9*h)*h-45*f(b...
1/3628800*1/h^10*(f(b)-10*f(a+9*h)+45*f(a+8*h)+210*f(a+6*h)+210*f(a+4*h)+45*f(a+2*h)+f(a)-120*f(a+7*h)-252*f(a+5*h)-120*f(a+3*h)-10*f(a+h))*x^10+1/3628800*1/h^10*(-2385*f(a+2*h)*h+460*f(a+9*h)*h-45*f(b...
1/3628800*1/h^10*(f(b)-10*f(a+9*h)+45*f(a+8*h)+210*f(a+6*h)+210*f(a+4*h)+45*f(a+2*h)+f(a)-120*f(a+7*h)-252*f(a+5*h)-120*f(a+3*h)-10*f(a+h))*x^10+1/3628800*1/h^10*(-2385*f(a+2*h)*h+460*f(a+9*h)*h-45*f(b...
1/3628800*1/h^10*(f(b)-10*f(a+9*h)+45*f(a+8*h)+210*f(a+6*h)+210*f(a+4*h)+45*f(a+2*h)+f(a)-120*f(a+7*h)-252*f(a+5*h)-120*f(a+3*h)-10*f(a+h))*x^10+1/3628800*1/h^10*(-2385*f(a+2*h)*h+460*f(a+9*h)*h-45*f(b...
1/3628800*1/h^10*(f(b)-10*f(a+9*h)+45*f(a+8*h)+210*f(a+6*h)+210*f(a+4*h)+45*f(a+2*h)+f(a)-120*f(a+7*h)-252*f(a+5*h)-120*f(a+3*h)-10*f(a+h))*x^10+1/3628800*1/h^10*(-2385*f(a+2*h)*h+460*f(a+9*h)*h-45*f(b...
1/3628800*1/h^10*(f(b)-10*f(a+9*h)+45*f(a+8*h)+210*f(a+6*h)+210*f(a+4*h)+45*f(a+2*h)+f(a)-120*f(a+7*h)-252*f(a+5*h)-120*f(a+3*h)-10*f(a+h))*x^10+1/3628800*1/h^10*(-2385*f(a+2*h)*h+460*f(a+9*h)*h-45*f(b...
1/3628800*1/h^10*(f(b)-10*f(a+9*h)+45*f(a+8*h)+210*f(a+6*h)+210*f(a+4*h)+45*f(a+2*h)+f(a)-120*f(a+7*h)-252*f(a+5*h)-120*f(a+3*h)-10*f(a+h))*x^10+1/3628800*1/h^10*(-2385*f(a+2*h)*h+460*f(a+9*h)*h-45*f(b...
1/3628800*1/h^10*(f(b)-10*f(a+9*h)+45*f(a+8*h)+210*f(a+6*h)+210*f(a+4*h)+45*f(a+2*h)+f(a)-120*f(a+7*h)-252*f(a+5*h)-120*f(a+3*h)-10*f(a+h))*x^10+1/3628800*1/h^10*(-2385*f(a+2*h)*h+460*f(a+9*h)*h-45*f(b...
1/3628800*1/h^10*(f(b)-10*f(a+9*h)+45*f(a+8*h)+210*f(a+6*h)+210*f(a+4*h)+45*f(a+2*h)+f(a)-120*f(a+7*h)-252*f(a+5*h)-120*f(a+3*h)-10*f(a+h))*x^10+1/3628800*1/h^10*(-2385*f(a+2*h)*h+460*f(a+9*h)*h-45*f(b...
1/3628800*1/h^10*(f(b)-10*f(a+9*h)+45*f(a+8*h)+210*f(a+6*h)+210*f(a+4*h)+45*f(a+2*h)+f(a)-120*f(a+7*h)-252*f(a+5*h)-120*f(a+3*h)-10*f(a+h))*x^10+1/3628800*1/h^10*(-2385*f(a+2*h)*h+460*f(a+9*h)*h-45*f(b...
1/3628800*1/h^10*(f(b)-10*f(a+9*h)+45*f(a+8*h)+210*f(a+6*h)+210*f(a+4*h)+45*f(a+2*h)+f(a)-120*f(a+7*h)-252*f(a+5*h)-120*f(a+3*h)-10*f(a+h))*x^10+1/3628800*1/h^10*(-2385*f(a+2*h)*h+460*f(a+9*h)*h-45*f(b...
1/3628800*1/h^10*(f(b)-10*f(a+9*h)+45*f(a+8*h)+210*f(a+6*h)+210*f(a+4*h)+45*f(a+2*h)+f(a)-120*f(a+7*h)-252*f(a+5*h)-120*f(a+3*h)-10*f(a+h))*x^10+1/3628800*1/h^10*(-2385*f(a+2*h)*h+460*f(a+9*h)*h-45*f(b...
1/3628800*1/h^10*(f(b)-10*f(a+9*h)+45*f(a+8*h)+210*f(a+6*h)+210*f(a+4*h)+45*f(a+2*h)+f(a)-120*f(a+7*h)-252*f(a+5*h)-120*f(a+3*h)-10*f(a+h))*x^10+1/3628800*1/h^10*(-2385*f(a+2*h)*h+460*f(a+9*h)*h-45*f(b...
1/3628800*1/h^10*(f(b)-10*f(a+9*h)+45*f(a+8*h)+210*f(a+6*h)+210*f(a+4*h)+45*f(a+2*h)+f(a)-120*f(a+7*h)-252*f(a+5*h)-120*f(a+3*h)-10*f(a+h))*x^10+1/3628800*1/h^10*(-2385*f(a+2*h)*h+460*f(a+9*h)*h-45*f(b...
1/3628800*1/h^10*(f(b)-10*f(a+9*h)+45*f(a+8*h)+210*f(a+6*h)+210*f(a+4*h)+45*f(a+2*h)+f(a)-120*f(a+7*h)-252*f(a+5*h)-120*f(a+3*h)-10*f(a+h))*x^10+1/3628800*1/h^10*(-2385*f(a+2*h)*h+460*f(a+9*h)*h-45*f(b...
1/3628800*1/h^10*(f(b)-10*f(a+9*h)+45*f(a+8*h)+210*f(a+6*h)+210*f(a+4*h)+45*f(a+2*h)+f(a)-120*f(a+7*h)-252*f(a+5*h)-120*f(a+3*h)-10*f(a+h))*x^10+1/3628800*1/h^10*(-2385*f(a+2*h)*h+460*f(a+9*h)*h-45*f(b...
1/3628800*1/h^10*(f(b)-10*f(a+9*h)+45*f(a+8*h)+210*f(a+6*h)+210*f(a+4*h)+45*f(a+2*h)+f(a)-120*f(a+7*h)-252*f(a+5*h)-120*f(a+3*h)-10*f(a+h))*x^10+1/3628800*1/h^10*(-2385*f(a+2*h)*h+460*f(a+9*h)*h-45*f(b...
1/3628800*1/h^10*(f(b)-10*f(a+9*h)+45*f(a+8*h)+210*f(a+6*h)+210*f(a+4*h)+45*f(a+2*h)+f(a)-120*f(a+7*h)-252*f(a+5*h)-120*f(a+3*h)-10*f(a+h))*x^10+1/3628800*1/h^10*(-2385*f(a+2*h)*h+460*f(a+9*h)*h-45*f(b...
1/3628800*1/h^10*(f(b)-10*f(a+9*h)+45*f(a+8*h)+210*f(a+6*h)+210*f(a+4*h)+45*f(a+2*h)+f(a)-120*f(a+7*h)-252*f(a+5*h)-120*f(a+3*h)-10*f(a+h))*x^10+1/3628800*1/h^10*(-2385*f(a+2*h)*h+460*f(a+9*h)*h-45*f(b...
1/3628800*1/h^10*(f(b)-10*f(a+9*h)+45*f(a+8*h)+210*f(a+6*h)+210*f(a+4*h)+45*f(a+2*h)+f(a)-120*f(a+7*h)-252*f(a+5*h)-120*f(a+3*h)-10*f(a+h))*x^10+1/3628800*1/h^10*(-2385*f(a+2*h)*h+460*f(a+9*h)*h-45*f(b...
1/3628800*1/h^10*(f(b)-10*f(a+9*h)+45*f(a+8*h)+210*f(a+6*h)+210*f(a+4*h)+45*f(a+2*h)+f(a)-120*f(a+7*h)-252*f(a+5*h)-120*f(a+3*h)-10*f(a+h))*x^10+1/3628800*1/h^10*(-2385*f(a+2*h)*h+460*f(a+9*h)*h-45*f(b...
1/3628800*1/h^10*(f(b)-10*f(a+9*h)+45*f(a+8*h)+210*f(a+6*h)+210*f(a+4*h)+45*f(a+2*h)+f(a)-120*f(a+7*h)-252*f(a+5*h)-120*f(a+3*h)-10*f(a+h))*x^10+1/3628800*1/h^10*(-2385*f(a+2*h)*h+460*f(a+9*h)*h-45*f(b...
1/3628800*1/h^10*(f(b)-10*f(a+9*h)+45*f(a+8*h)+210*f(a+6*h)+210*f(a+4*h)+45*f(a+2*h)+f(a)-120*f(a+7*h)-252*f(a+5*h)-120*f(a+3*h)-10*f(a+h))*x^10+1/3628800*1/h^10*(-2385*f(a+2*h)*h+460*f(a+9*h)*h-45*f(b...
1/3628800*1/h^10*(f(b)-10*f(a+9*h)+45*f(a+8*h)+210*f(a+6*h)+210*f(a+4*h)+45*f(a+2*h)+f(a)-120*f(a+7*h)-252*f(a+5*h)-120*f(a+3*h)-10*f(a+h))*x^10+1/3628800*1/h^10*(-2385*f(a+2*h)*h+460*f(a+9*h)*h-45*f(b...
1/3628800*1/h^10*(f(b)-10*f(a+9*h)+45*f(a+8*h)+210*f(a+6*h)+210*f(a+4*h)+45*f(a+2*h)+f(a)-120*f(a+7*h)-252*f(a+5*h)-120*f(a+3*h)-10*f(a+h))*x^10+1/3628800*1/h^10*(-2385*f(a+2*h)*h+460*f(a+9*h)*h-45*f(b...
1/3628800*1/h^10*(f(b)-10*f(a+9*h)+45*f(a+8*h)+210*f(a+6*h)+210*f(a+4*h)+45*f(a+2*h)+f(a)-120*f(a+7*h)-252*f(a+5*h)-120*f(a+3*h)-10*f(a+h))*x^10+1/3628800*1/h^10*(-2385*f(a+2*h)*h+460*f(a+9*h)*h-45*f(b...
1/3628800*1/h^10*(f(b)-10*f(a+9*h)+45*f(a+8*h)+210*f(a+6*h)+210*f(a+4*h)+45*f(a+2*h)+f(a)-120*f(a+7*h)-252*f(a+5*h)-120*f(a+3*h)-10*f(a+h))*x^10+1/3628800*1/h^10*(-2385*f(a+2*h)*h+460*f(a+9*h)*h-45*f(b...
1/3628800*1/h^10*(f(b)-10*f(a+9*h)+45*f(a+8*h)+210*f(a+6*h)+210*f(a+4*h)+45*f(a+2*h)+f(a)-120*f(a+7*h)-252*f(a+5*h)-120*f(a+3*h)-10*f(a+h))*x^10+1/3628800*1/h^10*(-2385*f(a+2*h)*h+460*f(a+9*h)*h-45*f(b...
1/3628800*1/h^10*(f(b)-10*f(a+9*h)+45*f(a+8*h)+210*f(a+6*h)+210*f(a+4*h)+45*f(a+2*h)+f(a)-120*f(a+7*h)-252*f(a+5*h)-120*f(a+3*h)-10*f(a+h))*x^10+1/3628800*1/h^10*(-2385*f(a+2*h)*h+460*f(a+9*h)*h-45*f(b...
1/3628800*1/h^10*(f(b)-10*f(a+9*h)+45*f(a+8*h)+210*f(a+6*h)+210*f(a+4*h)+45*f(a+2*h)+f(a)-120*f(a+7*h)-252*f(a+5*h)-120*f(a+3*h)-10*f(a+h))*x^10+1/3628800*1/h^10*(-2385*f(a+2*h)*h+460*f(a+9*h)*h-45*f(b...
1/3628800*1/h^10*(f(b)-10*f(a+9*h)+45*f(a+8*h)+210*f(a+6*h)+210*f(a+4*h)+45*f(a+2*h)+f(a)-120*f(a+7*h)-252*f(a+5*h)-120*f(a+3*h)-10*f(a+h))*x^10+1/3628800*1/h^10*(-2385*f(a+2*h)*h+460*f(a+9*h)*h-45*f(b...
1/3628800*1/h^10*(f(b)-10*f(a+9*h)+45*f(a+8*h)+210*f(a+6*h)+210*f(a+4*h)+45*f(a+2*h)+f(a)-120*f(a+7*h)-252*f(a+5*h)-120*f(a+3*h)-10*f(a+h))*x^10+1/3628800*1/h^10*(-2385*f(a+2*h)*h+460*f(a+9*h)*h-45*f(b...
1/3628800*1/h^10*(f(b)-10*f(a+9*h)+45*f(a+8*h)+210*f(a+6*h)+210*f(a+4*h)+45*f(a+2*h)+f(a)-120*f(a+7*h)-252*f(a+5*h)-120*f(a+3*h)-10*f(a+h))*x^10+1/3628800*1/h^10*(-2385*f(a+2*h)*h+460*f(a+9*h)*h-45*f(b...
1/3628800*1/h^10*(f(b)-10*f(a+9*h)+45*f(a+8*h)+210*f(a+6*h)+210*f(a+4*h)+45*f(a+2*h)+f(a)-120*f(a+7*h)-252*f(a+5*h)-120*f(a+3*h)-10*f(a+h))*x^10+1/3628800*1/h^10*(-2385*f(a+2*h)*h+460*f(a+9*h)*h-45*f(b...
1/3628800*1/h^10*(f(b)-10*f(a+9*h)+45*f(a+8*h)+210*f(a+6*h)+210*f(a+4*h)+45*f(a+2*h)+f(a)-120*f(a+7*h)-252*f(a+5*h)-120*f(a+3*h)-10*f(a+h))*x^10+1/3628800*1/h^10*(-2385*f(a+2*h)*h+460*f(a+9*h)*h-45*f(b...
1/3628800*1/h^10*(f(b)-10*f(a+9*h)+45*f(a+8*h)+210*f(a+6*h)+210*f(a+4*h)+45*f(a+2*h)+f(a)-120*f(a+7*h)-252*f(a+5*h)-120*f(a+3*h)-10*f(a+h))*x^10+1/3628800*1/h^10*(-2385*f(a+2*h)*h+460*f(a+9*h)*h-45*f(b...
1/3628800*1/h^10*(f(b)-10*f(a+9*h)+45*f(a+8*h)+210*f(a+6*h)+210*f(a+4*h)+45*f(a+2*h)+f(a)-120*f(a+7*h)-252*f(a+5*h)-120*f(a+3*h)-10*f(a+h))*x^10+1/3628800*1/h^10*(-2385*f(a+2*h)*h+460*f(a+9*h)*h-45*f(b...
1/3628800*1/h^10*(f(b)-10*f(a+9*h)+45*f(a+8*h)+210*f(a+6*h)+210*f(a+4*h)+45*f(a+2*h)+f(a)-120*f(a+7*h)-252*f(a+5*h)-120*f(a+3*h)-10*f(a+h))*x^10+1/3628800*1/h^10*(-2385*f(a+2*h)*h+460*f(a+9*h)*h-45*f(b...
1/3628800*1/h^10*(f(b)-10*f(a+9*h)+45*f(a+8*h)+210*f(a+6*h)+210*f(a+4*h)+45*f(a+2*h)+f(a)-120*f(a+7*h)-252*f(a+5*h)-120*f(a+3*h)-10*f(a+h))*x^10+1/3628800*1/h^10*(-2385*f(a+2*h)*h+460*f(a+9*h)*h-45*f(b...
1/3628800*1/h^10*(f(b)-10*f(a+9*h)+45*f(a+8*h)+210*f(a+6*h)+210*f(a+4*h)+45*f(a+2*h)+f(a)-120*f(a+7*h)-252*f(a+5*h)-120*f(a+3*h)-10*f(a+h))*x^10+1/3628800*1/h^10*(-2385*f(a+2*h)*h+460*f(a+9*h)*h-45*f(b...
1/3628800*1/h^10*(f(b)-10*f(a+9*h)+45*f(a+8*h)+210*f(a+6*h)+210*f(a+4*h)+45*f(a+2*h)+f(a)-120*f(a+7*h)-252*f(a+5*h)-120*f(a+3*h)-10*f(a+h))*x^10+1/3628800*1/h^10*(-2385*f(a+2*h)*h+460*f(a+9*h)*h-45*f(b...
1/3628800*1/h^10*(f(b)-10*f(a+9*h)+45*f(a+8*h)+210*f(a+6*h)+210*f(a+4*h)+45*f(a+2*h)+f(a)-120*f(a+7*h)-252*f(a+5*h)-120*f(a+3*h)-10*f(a+h))*x^10+1/3628800*1/h^10*(-2385*f(a+2*h)*h+460*f(a+9*h)*h-45*f(b...
1/3628800*1/h^10*(f(b)-10*f(a+9*h)+45*f(a+8*h)+210*f(a+6*h)+210*f(a+4*h)+45*f(a+2*h)+f(a)-120*f(a+7*h)-252*f(a+5*h)-120*f(a+3*h)-10*f(a+h))*x^10+1/3628800*1/h^10*(-2385*f(a+2*h)*h+460*f(a+9*h)*h-45*f(b...
1/3628800*1/h^10*(f(b)-10*f(a+9*h)+45*f(a+8*h)+210*f(a+6*h)+210*f(a+4*h)+45*f(a+2*h)+f(a)-120*f(a+7*h)-252*f(a+5*h)-120*f(a+3*h)-10*f(a+h))*x^10+1/3628800*1/h^10*(-2385*f(a+2*h)*h+460*f(a+9*h)*h-45*f(b...
1/3628800*1/h^10*(f(b)-10*f(a+9*h)+45*f(a+8*h)+210*f(a+6*h)+210*f(a+4*h)+45*f(a+2*h)+f(a)-120*f(a+7*h)-252*f(a+5*h)-120*f(a+3*h)-10*f(a+h))*x^10+1/3628800*1/h^10*(-2385*f(a+2*h)*h+460*f(a+9*h)*h-45*f(b...
1/3628800*1/h^10*(f(b)-10*f(a+9*h)+45*f(a+8*h)+210*f(a+6*h)+210*f(a+4*h)+45*f(a+2*h)+f(a)-120*f(a+7*h)-252*f(a+5*h)-120*f(a+3*h)-10*f(a+h))*x^10+1/3628800*1/h^10*(-2385*f(a+2*h)*h+460*f(a+9*h)*h-45*f(b...
1/3628800*1/h^10*(f(b)-10*f(a+9*h)+45*f(a+8*h)+210*f(a+6*h)+210*f(a+4*h)+45*f(a+2*h)+f(a)-120*f(a+7*h)-252*f(a+5*h)-120*f(a+3*h)-10*f(a+h))*x^10+1/3628800*1/h^10*(-2385*f(a+2*h)*h+460*f(a+9*h)*h-45*f(b...
1/3628800*1/h^10*(f(b)-10*f(a+9*h)+45*f(a+8*h)+210*f(a+6*h)+210*f(a+4*h)+45*f(a+2*h)+f(a)-120*f(a+7*h)-252*f(a+5*h)-120*f(a+3*h)-10*f(a+h))*x^10+1/3628800*1/h^10*(-2385*f(a+2*h)*h+460*f(a+9*h)*h-45*f(b...
1/3628800*1/h^10*(f(b)-10*f(a+9*h)+45*f(a+8*h)+210*f(a+6*h)+210*f(a+4*h)+45*f(a+2*h)+f(a)-120*f(a+7*h)-252*f(a+5*h)-120*f(a+3*h)-10*f(a+h))*x^10+1/3628800*1/h^10*(-2385*f(a+2*h)*h+460*f(a+9*h)*h-45*f(b...
1/3628800*1/h^10*(f(b)-10*f(a+9*h)+45*f(a+8*h)+210*f(a+6*h)+210*f(a+4*h)+45*f(a+2*h)+f(a)-120*f(a+7*h)-252*f(a+5*h)-120*f(a+3*h)-10*f(a+h))*x^10+1/3628800*1/h^10*(-2385*f(a+2*h)*h+460*f(a+9*h)*h-45*f(b...
1/3628800*1/h^10*(f(b)-10*f(a+9*h)+45*f(a+8*h)+210*f(a+6*h)+210*f(a+4*h)+45*f(a+2*h)+f(a)-120*f(a+7*h)-252*f(a+5*h)-120*f(a+3*h)-10*f(a+h))*x^10+1/3628800*1/h^10*(-2385*f(a+2*h)*h+460*f(a+9*h)*h-45*f(b...
1/3628800*1/h^10*(f(b)-10*f(a+9*h)+45*f(a+8*h)+210*f(a+6*h)+210*f(a+4*h)+45*f(a+2*h)+f(a)-120*f(a+7*h)-252*f(a+5*h)-120*f(a+3*h)-10*f(a+h))*x^10+1/3628800*1/h^10*(-2385*f(a+2*h)*h+460*f(a+9*h)*h-45*f(b...
1/3628800*1/h^10*(f(b)-10*f(a+9*h)+45*f(a+8*h)+210*f(a+6*h)+210*f(a+4*h)+45*f(a+2*h)+f(a)-120*f(a+7*h)-252*f(a+5*h)-120*f(a+3*h)-10*f(a+h))*x^10+1/3628800*1/h^10*(-2385*f(a+2*h)*h+460*f(a+9*h)*h-45*f(b...
1/3628800*1/h^10*(f(b)-10*f(a+9*h)+45*f(a+8*h)+210*f(a+6*h)+210*f(a+4*h)+45*f(a+2*h)+f(a)-120*f(a+7*h)-252*f(a+5*h)-120*f(a+3*h)-10*f(a+h))*x^10+1/3628800*1/h^10*(-2385*f(a+2*h)*h+460*f(a+9*h)*h-45*f(b...
1/3628800*1/h^10*(f(b)-10*f(a+9*h)+45*f(a+8*h)+210*f(a+6*h)+210*f(a+4*h)+45*f(a+2*h)+f(a)-120*f(a+7*h)-252*f(a+5*h)-120*f(a+3*h)-10*f(a+h))*x^10+1/3628800*1/h^10*(-2385*f(a+2*h)*h+460*f(a+9*h)*h-45*f(b...
1/3628800*1/h^10*(f(b)-10*f(a+9*h)+45*f(a+8*h)+210*f(a+6*h)+210*f(a+4*h)+45*f(a+2*h)+f(a)-120*f(a+7*h)-252*f(a+5*h)-120*f(a+3*h)-10*f(a+h))*x^10+1/3628800*1/h^10*(-2385*f(a+2*h)*h+460*f(a+9*h)*h-45*f(b...
1/3628800*1/h^10*(f(b)-10*f(a+9*h)+45*f(a+8*h)+210*f(a+6*h)+210*f(a+4*h)+45*f(a+2*h)+f(a)-120*f(a+7*h)-252*f(a+5*h)-120*f(a+3*h)-10*f(a+h))*x^10+1/3628800*1/h^10*(-2385*f(a+2*h)*h+460*f(a+9*h)*h-45*f(b...
1/3628800*1/h^10*(f(b)-10*f(a+9*h)+45*f(a+8*h)+210*f(a+6*h)+210*f(a+4*h)+45*f(a+2*h)+f(a)-120*f(a+7*h)-252*f(a+5*h)-120*f(a+3*h)-10*f(a+h))*x^10+1/3628800*1/h^10*(-2385*f(a+2*h)*h+460*f(a+9*h)*h-45*f(b...
1/3628800*1/h^10*(f(b)-10*f(a+9*h)+45*f(a+8*h)+210*f(a+6*h)+210*f(a+4*h)+45*f(a+2*h)+f(a)-120*f(a+7*h)-252*f(a+5*h)-120*f(a+3*h)-10*f(a+h))*x^10+1/3628800*1/h^10*(-2385*f(a+2*h)*h+460*f(a+9*h)*h-45*f(b...
1/3628800*1/h^10*(f(b)-10*f(a+9*h)+45*f(a+8*h)+210*f(a+6*h)+210*f(a+4*h)+45*f(a+2*h)+f(a)-120*f(a+7*h)-252*f(a+5*h)-120*f(a+3*h)-10*f(a+h))*x^10+1/3628800*1/h^10*(-2385*f(a+2*h)*h+460*f(a+9*h)*h-45*f(b...
1/3628800*1/h^10*(f(b)-10*f(a+9*h)+45*f(a+8*h)+210*f(a+6*h)+210*f(a+4*h)+45*f(a+2*h)+f(a)-120*f(a+7*h)-252*f(a+5*h)-120*f(a+3*h)-10*f(a+h))*x^10+1/3628800*1/h^10*(-2385*f(a+2*h)*h+460*f(a+9*h)*h-45*f(b...
1/3628800*1/h^10*(f(b)-10*f(a+9*h)+45*f(a+8*h)+210*f(a+6*h)+210*f(a+4*h)+45*f(a+2*h)+f(a)-120*f(a+7*h)-252*f(a+5*h)-120*f(a+3*h)-10*f(a+h))*x^10+1/3628800*1/h^10*(-2385*f(a+2*h)*h+460*f(a+9*h)*h-45*f(b...
1/3628800*1/h^10*(f(b)-10*f(a+9*h)+45*f(a+8*h)+210*f(a+6*h)+210*f(a+4*h)+45*f(a+2*h)+f(a)-120*f(a+7*h)-252*f(a+5*h)-120*f(a+3*h)-10*f(a+h))*x^10+1/3628800*1/h^10*(-2385*f(a+2*h)*h+460*f(a+9*h)*h-45*f(b...
1/3628800*1/h^10*(f(b)-10*f(a+9*h)+45*f(a+8*h)+210*f(a+6*h)+210*f(a+4*h)+45*f(a+2*h)+f(a)-120*f(a+7*h)-252*f(a+5*h)-120*f(a+3*h)-10*f(a+h))*x^10+1/3628800*1/h^10*(-2385*f(a+2*h)*h+460*f(a+9*h)*h-45*f(b...
1/3628800*1/h^10*(f(b)-10*f(a+9*h)+45*f(a+8*h)+210*f(a+6*h)+210*f(a+4*h)+45*f(a+2*h)+f(a)-120*f(a+7*h)-252*f(a+5*h)-120*f(a+3*h)-10*f(a+h))*x^10+1/3628800*1/h^10*(-2385*f(a+2*h)*h+460*f(a+9*h)*h-45*f(b...
1/3628800*1/h^10*(f(b)-10*f(a+9*h)+45*f(a+8*h)+210*f(a+6*h)+210*f(a+4*h)+45*f(a+2*h)+f(a)-120*f(a+7*h)-252*f(a+5*h)-120*f(a+3*h)-10*f(a+h))*x^10+1/3628800*1/h^10*(-2385*f(a+2*h)*h+460*f(a+9*h)*h-45*f(b...
1/3628800*1/h^10*(f(b)-10*f(a+9*h)+45*f(a+8*h)+210*f(a+6*h)+210*f(a+4*h)+45*f(a+2*h)+f(a)-120*f(a+7*h)-252*f(a+5*h)-120*f(a+3*h)-10*f(a+h))*x^10+1/3628800*1/h^10*(-2385*f(a+2*h)*h+460*f(a+9*h)*h-45*f(b...
1/3628800*1/h^10*(f(b)-10*f(a+9*h)+45*f(a+8*h)+210*f(a+6*h)+210*f(a+4*h)+45*f(a+2*h)+f(a)-120*f(a+7*h)-252*f(a+5*h)-120*f(a+3*h)-10*f(a+h))*x^10+1/3628800*1/h^10*(-2385*f(a+2*h)*h+460*f(a+9*h)*h-45*f(b...
1/3628800*1/h^10*(f(b)-10*f(a+9*h)+45*f(a+8*h)+210*f(a+6*h)+210*f(a+4*h)+45*f(a+2*h)+f(a)-120*f(a+7*h)-252*f(a+5*h)-120*f(a+3*h)-10*f(a+h))*x^10+1/3628800*1/h^10*(-2385*f(a+2*h)*h+460*f(a+9*h)*h-45*f(b...
1/3628800*1/h^10*(f(b)-10*f(a+9*h)+45*f(a+8*h)+210*f(a+6*h)+210*f(a+4*h)+45*f(a+2*h)+f(a)-120*f(a+7*h)-252*f(a+5*h)-120*f(a+3*h)-10*f(a+h))*x^10+1/3628800*1/h^10*(-2385*f(a+2*h)*h+460*f(a+9*h)*h-45*f(b...
1/3628800*1/h^10*(f(b)-10*f(a+9*h)+45*f(a+8*h)+210*f(a+6*h)+210*f(a+4*h)+45*f(a+2*h)+f(a)-120*f(a+7*h)-252*f(a+5*h)-120*f(a+3*h)-10*f(a+h))*x^10+1/3628800*1/h^10*(-2385*f(a+2*h)*h+460*f(a+9*h)*h-45*f(b...
1/3628800*1/h^10*(f(b)-10*f(a+9*h)+45*f(a+8*h)+210*f(a+6*h)+210*f(a+4*h)+45*f(a+2*h)+f(a)-120*f(a+7*h)-252*f(a+5*h)-120*f(a+3*h)-10*f(a+h))*x^10+1/3628800*1/h^10*(-2385*f(a+2*h)*h+460*f(a+9*h)*h-45*f(b...

>    int( %, x = a..a+10*h );

1/39916800*1/h^10*(f(b)-10*f(a+9*h)+45*f(a+8*h)+210*f(a+6*h)+210*f(a+4*h)+45*f(a+2*h)+f(a)-120*f(a+7*h)-252*f(a+5*h)-120*f(a+3*h)-10*f(a+h))*((a+10*h)^11-a^11)+1/36288000*1/h^10*(-2385*f(a+2*h)*h+460*f...
1/39916800*1/h^10*(f(b)-10*f(a+9*h)+45*f(a+8*h)+210*f(a+6*h)+210*f(a+4*h)+45*f(a+2*h)+f(a)-120*f(a+7*h)-252*f(a+5*h)-120*f(a+3*h)-10*f(a+h))*((a+10*h)^11-a^11)+1/36288000*1/h^10*(-2385*f(a+2*h)*h+460*f...
1/39916800*1/h^10*(f(b)-10*f(a+9*h)+45*f(a+8*h)+210*f(a+6*h)+210*f(a+4*h)+45*f(a+2*h)+f(a)-120*f(a+7*h)-252*f(a+5*h)-120*f(a+3*h)-10*f(a+h))*((a+10*h)^11-a^11)+1/36288000*1/h^10*(-2385*f(a+2*h)*h+460*f...
1/39916800*1/h^10*(f(b)-10*f(a+9*h)+45*f(a+8*h)+210*f(a+6*h)+210*f(a+4*h)+45*f(a+2*h)+f(a)-120*f(a+7*h)-252*f(a+5*h)-120*f(a+3*h)-10*f(a+h))*((a+10*h)^11-a^11)+1/36288000*1/h^10*(-2385*f(a+2*h)*h+460*f...
1/39916800*1/h^10*(f(b)-10*f(a+9*h)+45*f(a+8*h)+210*f(a+6*h)+210*f(a+4*h)+45*f(a+2*h)+f(a)-120*f(a+7*h)-252*f(a+5*h)-120*f(a+3*h)-10*f(a+h))*((a+10*h)^11-a^11)+1/36288000*1/h^10*(-2385*f(a+2*h)*h+460*f...
1/39916800*1/h^10*(f(b)-10*f(a+9*h)+45*f(a+8*h)+210*f(a+6*h)+210*f(a+4*h)+45*f(a+2*h)+f(a)-120*f(a+7*h)-252*f(a+5*h)-120*f(a+3*h)-10*f(a+h))*((a+10*h)^11-a^11)+1/36288000*1/h^10*(-2385*f(a+2*h)*h+460*f...
1/39916800*1/h^10*(f(b)-10*f(a+9*h)+45*f(a+8*h)+210*f(a+6*h)+210*f(a+4*h)+45*f(a+2*h)+f(a)-120*f(a+7*h)-252*f(a+5*h)-120*f(a+3*h)-10*f(a+h))*((a+10*h)^11-a^11)+1/36288000*1/h^10*(-2385*f(a+2*h)*h+460*f...
1/39916800*1/h^10*(f(b)-10*f(a+9*h)+45*f(a+8*h)+210*f(a+6*h)+210*f(a+4*h)+45*f(a+2*h)+f(a)-120*f(a+7*h)-252*f(a+5*h)-120*f(a+3*h)-10*f(a+h))*((a+10*h)^11-a^11)+1/36288000*1/h^10*(-2385*f(a+2*h)*h+460*f...
1/39916800*1/h^10*(f(b)-10*f(a+9*h)+45*f(a+8*h)+210*f(a+6*h)+210*f(a+4*h)+45*f(a+2*h)+f(a)-120*f(a+7*h)-252*f(a+5*h)-120*f(a+3*h)-10*f(a+h))*((a+10*h)^11-a^11)+1/36288000*1/h^10*(-2385*f(a+2*h)*h+460*f...
1/39916800*1/h^10*(f(b)-10*f(a+9*h)+45*f(a+8*h)+210*f(a+6*h)+210*f(a+4*h)+45*f(a+2*h)+f(a)-120*f(a+7*h)-252*f(a+5*h)-120*f(a+3*h)-10*f(a+h))*((a+10*h)^11-a^11)+1/36288000*1/h^10*(-2385*f(a+2*h)*h+460*f...
1/39916800*1/h^10*(f(b)-10*f(a+9*h)+45*f(a+8*h)+210*f(a+6*h)+210*f(a+4*h)+45*f(a+2*h)+f(a)-120*f(a+7*h)-252*f(a+5*h)-120*f(a+3*h)-10*f(a+h))*((a+10*h)^11-a^11)+1/36288000*1/h^10*(-2385*f(a+2*h)*h+460*f...
1/39916800*1/h^10*(f(b)-10*f(a+9*h)+45*f(a+8*h)+210*f(a+6*h)+210*f(a+4*h)+45*f(a+2*h)+f(a)-120*f(a+7*h)-252*f(a+5*h)-120*f(a+3*h)-10*f(a+h))*((a+10*h)^11-a^11)+1/36288000*1/h^10*(-2385*f(a+2*h)*h+460*f...
1/39916800*1/h^10*(f(b)-10*f(a+9*h)+45*f(a+8*h)+210*f(a+6*h)+210*f(a+4*h)+45*f(a+2*h)+f(a)-120*f(a+7*h)-252*f(a+5*h)-120*f(a+3*h)-10*f(a+h))*((a+10*h)^11-a^11)+1/36288000*1/h^10*(-2385*f(a+2*h)*h+460*f...
1/39916800*1/h^10*(f(b)-10*f(a+9*h)+45*f(a+8*h)+210*f(a+6*h)+210*f(a+4*h)+45*f(a+2*h)+f(a)-120*f(a+7*h)-252*f(a+5*h)-120*f(a+3*h)-10*f(a+h))*((a+10*h)^11-a^11)+1/36288000*1/h^10*(-2385*f(a+2*h)*h+460*f...
1/39916800*1/h^10*(f(b)-10*f(a+9*h)+45*f(a+8*h)+210*f(a+6*h)+210*f(a+4*h)+45*f(a+2*h)+f(a)-120*f(a+7*h)-252*f(a+5*h)-120*f(a+3*h)-10*f(a+h))*((a+10*h)^11-a^11)+1/36288000*1/h^10*(-2385*f(a+2*h)*h+460*f...
1/39916800*1/h^10*(f(b)-10*f(a+9*h)+45*f(a+8*h)+210*f(a+6*h)+210*f(a+4*h)+45*f(a+2*h)+f(a)-120*f(a+7*h)-252*f(a+5*h)-120*f(a+3*h)-10*f(a+h))*((a+10*h)^11-a^11)+1/36288000*1/h^10*(-2385*f(a+2*h)*h+460*f...
1/39916800*1/h^10*(f(b)-10*f(a+9*h)+45*f(a+8*h)+210*f(a+6*h)+210*f(a+4*h)+45*f(a+2*h)+f(a)-120*f(a+7*h)-252*f(a+5*h)-120*f(a+3*h)-10*f(a+h))*((a+10*h)^11-a^11)+1/36288000*1/h^10*(-2385*f(a+2*h)*h+460*f...
1/39916800*1/h^10*(f(b)-10*f(a+9*h)+45*f(a+8*h)+210*f(a+6*h)+210*f(a+4*h)+45*f(a+2*h)+f(a)-120*f(a+7*h)-252*f(a+5*h)-120*f(a+3*h)-10*f(a+h))*((a+10*h)^11-a^11)+1/36288000*1/h^10*(-2385*f(a+2*h)*h+460*f...
1/39916800*1/h^10*(f(b)-10*f(a+9*h)+45*f(a+8*h)+210*f(a+6*h)+210*f(a+4*h)+45*f(a+2*h)+f(a)-120*f(a+7*h)-252*f(a+5*h)-120*f(a+3*h)-10*f(a+h))*((a+10*h)^11-a^11)+1/36288000*1/h^10*(-2385*f(a+2*h)*h+460*f...
1/39916800*1/h^10*(f(b)-10*f(a+9*h)+45*f(a+8*h)+210*f(a+6*h)+210*f(a+4*h)+45*f(a+2*h)+f(a)-120*f(a+7*h)-252*f(a+5*h)-120*f(a+3*h)-10*f(a+h))*((a+10*h)^11-a^11)+1/36288000*1/h^10*(-2385*f(a+2*h)*h+460*f...
1/39916800*1/h^10*(f(b)-10*f(a+9*h)+45*f(a+8*h)+210*f(a+6*h)+210*f(a+4*h)+45*f(a+2*h)+f(a)-120*f(a+7*h)-252*f(a+5*h)-120*f(a+3*h)-10*f(a+h))*((a+10*h)^11-a^11)+1/36288000*1/h^10*(-2385*f(a+2*h)*h+460*f...
1/39916800*1/h^10*(f(b)-10*f(a+9*h)+45*f(a+8*h)+210*f(a+6*h)+210*f(a+4*h)+45*f(a+2*h)+f(a)-120*f(a+7*h)-252*f(a+5*h)-120*f(a+3*h)-10*f(a+h))*((a+10*h)^11-a^11)+1/36288000*1/h^10*(-2385*f(a+2*h)*h+460*f...
1/39916800*1/h^10*(f(b)-10*f(a+9*h)+45*f(a+8*h)+210*f(a+6*h)+210*f(a+4*h)+45*f(a+2*h)+f(a)-120*f(a+7*h)-252*f(a+5*h)-120*f(a+3*h)-10*f(a+h))*((a+10*h)^11-a^11)+1/36288000*1/h^10*(-2385*f(a+2*h)*h+460*f...
1/39916800*1/h^10*(f(b)-10*f(a+9*h)+45*f(a+8*h)+210*f(a+6*h)+210*f(a+4*h)+45*f(a+2*h)+f(a)-120*f(a+7*h)-252*f(a+5*h)-120*f(a+3*h)-10*f(a+h))*((a+10*h)^11-a^11)+1/36288000*1/h^10*(-2385*f(a+2*h)*h+460*f...
1/39916800*1/h^10*(f(b)-10*f(a+9*h)+45*f(a+8*h)+210*f(a+6*h)+210*f(a+4*h)+45*f(a+2*h)+f(a)-120*f(a+7*h)-252*f(a+5*h)-120*f(a+3*h)-10*f(a+h))*((a+10*h)^11-a^11)+1/36288000*1/h^10*(-2385*f(a+2*h)*h+460*f...
1/39916800*1/h^10*(f(b)-10*f(a+9*h)+45*f(a+8*h)+210*f(a+6*h)+210*f(a+4*h)+45*f(a+2*h)+f(a)-120*f(a+7*h)-252*f(a+5*h)-120*f(a+3*h)-10*f(a+h))*((a+10*h)^11-a^11)+1/36288000*1/h^10*(-2385*f(a+2*h)*h+460*f...
1/39916800*1/h^10*(f(b)-10*f(a+9*h)+45*f(a+8*h)+210*f(a+6*h)+210*f(a+4*h)+45*f(a+2*h)+f(a)-120*f(a+7*h)-252*f(a+5*h)-120*f(a+3*h)-10*f(a+h))*((a+10*h)^11-a^11)+1/36288000*1/h^10*(-2385*f(a+2*h)*h+460*f...
1/39916800*1/h^10*(f(b)-10*f(a+9*h)+45*f(a+8*h)+210*f(a+6*h)+210*f(a+4*h)+45*f(a+2*h)+f(a)-120*f(a+7*h)-252*f(a+5*h)-120*f(a+3*h)-10*f(a+h))*((a+10*h)^11-a^11)+1/36288000*1/h^10*(-2385*f(a+2*h)*h+460*f...
1/39916800*1/h^10*(f(b)-10*f(a+9*h)+45*f(a+8*h)+210*f(a+6*h)+210*f(a+4*h)+45*f(a+2*h)+f(a)-120*f(a+7*h)-252*f(a+5*h)-120*f(a+3*h)-10*f(a+h))*((a+10*h)^11-a^11)+1/36288000*1/h^10*(-2385*f(a+2*h)*h+460*f...
1/39916800*1/h^10*(f(b)-10*f(a+9*h)+45*f(a+8*h)+210*f(a+6*h)+210*f(a+4*h)+45*f(a+2*h)+f(a)-120*f(a+7*h)-252*f(a+5*h)-120*f(a+3*h)-10*f(a+h))*((a+10*h)^11-a^11)+1/36288000*1/h^10*(-2385*f(a+2*h)*h+460*f...
1/39916800*1/h^10*(f(b)-10*f(a+9*h)+45*f(a+8*h)+210*f(a+6*h)+210*f(a+4*h)+45*f(a+2*h)+f(a)-120*f(a+7*h)-252*f(a+5*h)-120*f(a+3*h)-10*f(a+h))*((a+10*h)^11-a^11)+1/36288000*1/h^10*(-2385*f(a+2*h)*h+460*f...
1/39916800*1/h^10*(f(b)-10*f(a+9*h)+45*f(a+8*h)+210*f(a+6*h)+210*f(a+4*h)+45*f(a+2*h)+f(a)-120*f(a+7*h)-252*f(a+5*h)-120*f(a+3*h)-10*f(a+h))*((a+10*h)^11-a^11)+1/36288000*1/h^10*(-2385*f(a+2*h)*h+460*f...
1/39916800*1/h^10*(f(b)-10*f(a+9*h)+45*f(a+8*h)+210*f(a+6*h)+210*f(a+4*h)+45*f(a+2*h)+f(a)-120*f(a+7*h)-252*f(a+5*h)-120*f(a+3*h)-10*f(a+h))*((a+10*h)^11-a^11)+1/36288000*1/h^10*(-2385*f(a+2*h)*h+460*f...
1/39916800*1/h^10*(f(b)-10*f(a+9*h)+45*f(a+8*h)+210*f(a+6*h)+210*f(a+4*h)+45*f(a+2*h)+f(a)-120*f(a+7*h)-252*f(a+5*h)-120*f(a+3*h)-10*f(a+h))*((a+10*h)^11-a^11)+1/36288000*1/h^10*(-2385*f(a+2*h)*h+460*f...
1/39916800*1/h^10*(f(b)-10*f(a+9*h)+45*f(a+8*h)+210*f(a+6*h)+210*f(a+4*h)+45*f(a+2*h)+f(a)-120*f(a+7*h)-252*f(a+5*h)-120*f(a+3*h)-10*f(a+h))*((a+10*h)^11-a^11)+1/36288000*1/h^10*(-2385*f(a+2*h)*h+460*f...
1/39916800*1/h^10*(f(b)-10*f(a+9*h)+45*f(a+8*h)+210*f(a+6*h)+210*f(a+4*h)+45*f(a+2*h)+f(a)-120*f(a+7*h)-252*f(a+5*h)-120*f(a+3*h)-10*f(a+h))*((a+10*h)^11-a^11)+1/36288000*1/h^10*(-2385*f(a+2*h)*h+460*f...
1/39916800*1/h^10*(f(b)-10*f(a+9*h)+45*f(a+8*h)+210*f(a+6*h)+210*f(a+4*h)+45*f(a+2*h)+f(a)-120*f(a+7*h)-252*f(a+5*h)-120*f(a+3*h)-10*f(a+h))*((a+10*h)^11-a^11)+1/36288000*1/h^10*(-2385*f(a+2*h)*h+460*f...
1/39916800*1/h^10*(f(b)-10*f(a+9*h)+45*f(a+8*h)+210*f(a+6*h)+210*f(a+4*h)+45*f(a+2*h)+f(a)-120*f(a+7*h)-252*f(a+5*h)-120*f(a+3*h)-10*f(a+h))*((a+10*h)^11-a^11)+1/36288000*1/h^10*(-2385*f(a+2*h)*h+460*f...
1/39916800*1/h^10*(f(b)-10*f(a+9*h)+45*f(a+8*h)+210*f(a+6*h)+210*f(a+4*h)+45*f(a+2*h)+f(a)-120*f(a+7*h)-252*f(a+5*h)-120*f(a+3*h)-10*f(a+h))*((a+10*h)^11-a^11)+1/36288000*1/h^10*(-2385*f(a+2*h)*h+460*f...
1/39916800*1/h^10*(f(b)-10*f(a+9*h)+45*f(a+8*h)+210*f(a+6*h)+210*f(a+4*h)+45*f(a+2*h)+f(a)-120*f(a+7*h)-252*f(a+5*h)-120*f(a+3*h)-10*f(a+h))*((a+10*h)^11-a^11)+1/36288000*1/h^10*(-2385*f(a+2*h)*h+460*f...
1/39916800*1/h^10*(f(b)-10*f(a+9*h)+45*f(a+8*h)+210*f(a+6*h)+210*f(a+4*h)+45*f(a+2*h)+f(a)-120*f(a+7*h)-252*f(a+5*h)-120*f(a+3*h)-10*f(a+h))*((a+10*h)^11-a^11)+1/36288000*1/h^10*(-2385*f(a+2*h)*h+460*f...
1/39916800*1/h^10*(f(b)-10*f(a+9*h)+45*f(a+8*h)+210*f(a+6*h)+210*f(a+4*h)+45*f(a+2*h)+f(a)-120*f(a+7*h)-252*f(a+5*h)-120*f(a+3*h)-10*f(a+h))*((a+10*h)^11-a^11)+1/36288000*1/h^10*(-2385*f(a+2*h)*h+460*f...
1/39916800*1/h^10*(f(b)-10*f(a+9*h)+45*f(a+8*h)+210*f(a+6*h)+210*f(a+4*h)+45*f(a+2*h)+f(a)-120*f(a+7*h)-252*f(a+5*h)-120*f(a+3*h)-10*f(a+h))*((a+10*h)^11-a^11)+1/36288000*1/h^10*(-2385*f(a+2*h)*h+460*f...
1/39916800*1/h^10*(f(b)-10*f(a+9*h)+45*f(a+8*h)+210*f(a+6*h)+210*f(a+4*h)+45*f(a+2*h)+f(a)-120*f(a+7*h)-252*f(a+5*h)-120*f(a+3*h)-10*f(a+h))*((a+10*h)^11-a^11)+1/36288000*1/h^10*(-2385*f(a+2*h)*h+460*f...
1/39916800*1/h^10*(f(b)-10*f(a+9*h)+45*f(a+8*h)+210*f(a+6*h)+210*f(a+4*h)+45*f(a+2*h)+f(a)-120*f(a+7*h)-252*f(a+5*h)-120*f(a+3*h)-10*f(a+h))*((a+10*h)^11-a^11)+1/36288000*1/h^10*(-2385*f(a+2*h)*h+460*f...
1/39916800*1/h^10*(f(b)-10*f(a+9*h)+45*f(a+8*h)+210*f(a+6*h)+210*f(a+4*h)+45*f(a+2*h)+f(a)-120*f(a+7*h)-252*f(a+5*h)-120*f(a+3*h)-10*f(a+h))*((a+10*h)^11-a^11)+1/36288000*1/h^10*(-2385*f(a+2*h)*h+460*f...
1/39916800*1/h^10*(f(b)-10*f(a+9*h)+45*f(a+8*h)+210*f(a+6*h)+210*f(a+4*h)+45*f(a+2*h)+f(a)-120*f(a+7*h)-252*f(a+5*h)-120*f(a+3*h)-10*f(a+h))*((a+10*h)^11-a^11)+1/36288000*1/h^10*(-2385*f(a+2*h)*h+460*f...
1/39916800*1/h^10*(f(b)-10*f(a+9*h)+45*f(a+8*h)+210*f(a+6*h)+210*f(a+4*h)+45*f(a+2*h)+f(a)-120*f(a+7*h)-252*f(a+5*h)-120*f(a+3*h)-10*f(a+h))*((a+10*h)^11-a^11)+1/36288000*1/h^10*(-2385*f(a+2*h)*h+460*f...
1/39916800*1/h^10*(f(b)-10*f(a+9*h)+45*f(a+8*h)+210*f(a+6*h)+210*f(a+4*h)+45*f(a+2*h)+f(a)-120*f(a+7*h)-252*f(a+5*h)-120*f(a+3*h)-10*f(a+h))*((a+10*h)^11-a^11)+1/36288000*1/h^10*(-2385*f(a+2*h)*h+460*f...
1/39916800*1/h^10*(f(b)-10*f(a+9*h)+45*f(a+8*h)+210*f(a+6*h)+210*f(a+4*h)+45*f(a+2*h)+f(a)-120*f(a+7*h)-252*f(a+5*h)-120*f(a+3*h)-10*f(a+h))*((a+10*h)^11-a^11)+1/36288000*1/h^10*(-2385*f(a+2*h)*h+460*f...
1/39916800*1/h^10*(f(b)-10*f(a+9*h)+45*f(a+8*h)+210*f(a+6*h)+210*f(a+4*h)+45*f(a+2*h)+f(a)-120*f(a+7*h)-252*f(a+5*h)-120*f(a+3*h)-10*f(a+h))*((a+10*h)^11-a^11)+1/36288000*1/h^10*(-2385*f(a+2*h)*h+460*f...
1/39916800*1/h^10*(f(b)-10*f(a+9*h)+45*f(a+8*h)+210*f(a+6*h)+210*f(a+4*h)+45*f(a+2*h)+f(a)-120*f(a+7*h)-252*f(a+5*h)-120*f(a+3*h)-10*f(a+h))*((a+10*h)^11-a^11)+1/36288000*1/h^10*(-2385*f(a+2*h)*h+460*f...
1/39916800*1/h^10*(f(b)-10*f(a+9*h)+45*f(a+8*h)+210*f(a+6*h)+210*f(a+4*h)+45*f(a+2*h)+f(a)-120*f(a+7*h)-252*f(a+5*h)-120*f(a+3*h)-10*f(a+h))*((a+10*h)^11-a^11)+1/36288000*1/h^10*(-2385*f(a+2*h)*h+460*f...
1/39916800*1/h^10*(f(b)-10*f(a+9*h)+45*f(a+8*h)+210*f(a+6*h)+210*f(a+4*h)+45*f(a+2*h)+f(a)-120*f(a+7*h)-252*f(a+5*h)-120*f(a+3*h)-10*f(a+h))*((a+10*h)^11-a^11)+1/36288000*1/h^10*(-2385*f(a+2*h)*h+460*f...
1/39916800*1/h^10*(f(b)-10*f(a+9*h)+45*f(a+8*h)+210*f(a+6*h)+210*f(a+4*h)+45*f(a+2*h)+f(a)-120*f(a+7*h)-252*f(a+5*h)-120*f(a+3*h)-10*f(a+h))*((a+10*h)^11-a^11)+1/36288000*1/h^10*(-2385*f(a+2*h)*h+460*f...
1/39916800*1/h^10*(f(b)-10*f(a+9*h)+45*f(a+8*h)+210*f(a+6*h)+210*f(a+4*h)+45*f(a+2*h)+f(a)-120*f(a+7*h)-252*f(a+5*h)-120*f(a+3*h)-10*f(a+h))*((a+10*h)^11-a^11)+1/36288000*1/h^10*(-2385*f(a+2*h)*h+460*f...
1/39916800*1/h^10*(f(b)-10*f(a+9*h)+45*f(a+8*h)+210*f(a+6*h)+210*f(a+4*h)+45*f(a+2*h)+f(a)-120*f(a+7*h)-252*f(a+5*h)-120*f(a+3*h)-10*f(a+h))*((a+10*h)^11-a^11)+1/36288000*1/h^10*(-2385*f(a+2*h)*h+460*f...
1/39916800*1/h^10*(f(b)-10*f(a+9*h)+45*f(a+8*h)+210*f(a+6*h)+210*f(a+4*h)+45*f(a+2*h)+f(a)-120*f(a+7*h)-252*f(a+5*h)-120*f(a+3*h)-10*f(a+h))*((a+10*h)^11-a^11)+1/36288000*1/h^10*(-2385*f(a+2*h)*h+460*f...
1/39916800*1/h^10*(f(b)-10*f(a+9*h)+45*f(a+8*h)+210*f(a+6*h)+210*f(a+4*h)+45*f(a+2*h)+f(a)-120*f(a+7*h)-252*f(a+5*h)-120*f(a+3*h)-10*f(a+h))*((a+10*h)^11-a^11)+1/36288000*1/h^10*(-2385*f(a+2*h)*h+460*f...
1/39916800*1/h^10*(f(b)-10*f(a+9*h)+45*f(a+8*h)+210*f(a+6*h)+210*f(a+4*h)+45*f(a+2*h)+f(a)-120*f(a+7*h)-252*f(a+5*h)-120*f(a+3*h)-10*f(a+h))*((a+10*h)^11-a^11)+1/36288000*1/h^10*(-2385*f(a+2*h)*h+460*f...
1/39916800*1/h^10*(f(b)-10*f(a+9*h)+45*f(a+8*h)+210*f(a+6*h)+210*f(a+4*h)+45*f(a+2*h)+f(a)-120*f(a+7*h)-252*f(a+5*h)-120*f(a+3*h)-10*f(a+h))*((a+10*h)^11-a^11)+1/36288000*1/h^10*(-2385*f(a+2*h)*h+460*f...
1/39916800*1/h^10*(f(b)-10*f(a+9*h)+45*f(a+8*h)+210*f(a+6*h)+210*f(a+4*h)+45*f(a+2*h)+f(a)-120*f(a+7*h)-252*f(a+5*h)-120*f(a+3*h)-10*f(a+h))*((a+10*h)^11-a^11)+1/36288000*1/h^10*(-2385*f(a+2*h)*h+460*f...
1/39916800*1/h^10*(f(b)-10*f(a+9*h)+45*f(a+8*h)+210*f(a+6*h)+210*f(a+4*h)+45*f(a+2*h)+f(a)-120*f(a+7*h)-252*f(a+5*h)-120*f(a+3*h)-10*f(a+h))*((a+10*h)^11-a^11)+1/36288000*1/h^10*(-2385*f(a+2*h)*h+460*f...
1/39916800*1/h^10*(f(b)-10*f(a+9*h)+45*f(a+8*h)+210*f(a+6*h)+210*f(a+4*h)+45*f(a+2*h)+f(a)-120*f(a+7*h)-252*f(a+5*h)-120*f(a+3*h)-10*f(a+h))*((a+10*h)^11-a^11)+1/36288000*1/h^10*(-2385*f(a+2*h)*h+460*f...
1/39916800*1/h^10*(f(b)-10*f(a+9*h)+45*f(a+8*h)+210*f(a+6*h)+210*f(a+4*h)+45*f(a+2*h)+f(a)-120*f(a+7*h)-252*f(a+5*h)-120*f(a+3*h)-10*f(a+h))*((a+10*h)^11-a^11)+1/36288000*1/h^10*(-2385*f(a+2*h)*h+460*f...
1/39916800*1/h^10*(f(b)-10*f(a+9*h)+45*f(a+8*h)+210*f(a+6*h)+210*f(a+4*h)+45*f(a+2*h)+f(a)-120*f(a+7*h)-252*f(a+5*h)-120*f(a+3*h)-10*f(a+h))*((a+10*h)^11-a^11)+1/36288000*1/h^10*(-2385*f(a+2*h)*h+460*f...
1/39916800*1/h^10*(f(b)-10*f(a+9*h)+45*f(a+8*h)+210*f(a+6*h)+210*f(a+4*h)+45*f(a+2*h)+f(a)-120*f(a+7*h)-252*f(a+5*h)-120*f(a+3*h)-10*f(a+h))*((a+10*h)^11-a^11)+1/36288000*1/h^10*(-2385*f(a+2*h)*h+460*f...
1/39916800*1/h^10*(f(b)-10*f(a+9*h)+45*f(a+8*h)+210*f(a+6*h)+210*f(a+4*h)+45*f(a+2*h)+f(a)-120*f(a+7*h)-252*f(a+5*h)-120*f(a+3*h)-10*f(a+h))*((a+10*h)^11-a^11)+1/36288000*1/h^10*(-2385*f(a+2*h)*h+460*f...
1/39916800*1/h^10*(f(b)-10*f(a+9*h)+45*f(a+8*h)+210*f(a+6*h)+210*f(a+4*h)+45*f(a+2*h)+f(a)-120*f(a+7*h)-252*f(a+5*h)-120*f(a+3*h)-10*f(a+h))*((a+10*h)^11-a^11)+1/36288000*1/h^10*(-2385*f(a+2*h)*h+460*f...
1/39916800*1/h^10*(f(b)-10*f(a+9*h)+45*f(a+8*h)+210*f(a+6*h)+210*f(a+4*h)+45*f(a+2*h)+f(a)-120*f(a+7*h)-252*f(a+5*h)-120*f(a+3*h)-10*f(a+h))*((a+10*h)^11-a^11)+1/36288000*1/h^10*(-2385*f(a+2*h)*h+460*f...
1/39916800*1/h^10*(f(b)-10*f(a+9*h)+45*f(a+8*h)+210*f(a+6*h)+210*f(a+4*h)+45*f(a+2*h)+f(a)-120*f(a+7*h)-252*f(a+5*h)-120*f(a+3*h)-10*f(a+h))*((a+10*h)^11-a^11)+1/36288000*1/h^10*(-2385*f(a+2*h)*h+460*f...
1/39916800*1/h^10*(f(b)-10*f(a+9*h)+45*f(a+8*h)+210*f(a+6*h)+210*f(a+4*h)+45*f(a+2*h)+f(a)-120*f(a+7*h)-252*f(a+5*h)-120*f(a+3*h)-10*f(a+h))*((a+10*h)^11-a^11)+1/36288000*1/h^10*(-2385*f(a+2*h)*h+460*f...
1/39916800*1/h^10*(f(b)-10*f(a+9*h)+45*f(a+8*h)+210*f(a+6*h)+210*f(a+4*h)+45*f(a+2*h)+f(a)-120*f(a+7*h)-252*f(a+5*h)-120*f(a+3*h)-10*f(a+h))*((a+10*h)^11-a^11)+1/36288000*1/h^10*(-2385*f(a+2*h)*h+460*f...
1/39916800*1/h^10*(f(b)-10*f(a+9*h)+45*f(a+8*h)+210*f(a+6*h)+210*f(a+4*h)+45*f(a+2*h)+f(a)-120*f(a+7*h)-252*f(a+5*h)-120*f(a+3*h)-10*f(a+h))*((a+10*h)^11-a^11)+1/36288000*1/h^10*(-2385*f(a+2*h)*h+460*f...
1/39916800*1/h^10*(f(b)-10*f(a+9*h)+45*f(a+8*h)+210*f(a+6*h)+210*f(a+4*h)+45*f(a+2*h)+f(a)-120*f(a+7*h)-252*f(a+5*h)-120*f(a+3*h)-10*f(a+h))*((a+10*h)^11-a^11)+1/36288000*1/h^10*(-2385*f(a+2*h)*h+460*f...
1/39916800*1/h^10*(f(b)-10*f(a+9*h)+45*f(a+8*h)+210*f(a+6*h)+210*f(a+4*h)+45*f(a+2*h)+f(a)-120*f(a+7*h)-252*f(a+5*h)-120*f(a+3*h)-10*f(a+h))*((a+10*h)^11-a^11)+1/36288000*1/h^10*(-2385*f(a+2*h)*h+460*f...
1/39916800*1/h^10*(f(b)-10*f(a+9*h)+45*f(a+8*h)+210*f(a+6*h)+210*f(a+4*h)+45*f(a+2*h)+f(a)-120*f(a+7*h)-252*f(a+5*h)-120*f(a+3*h)-10*f(a+h))*((a+10*h)^11-a^11)+1/36288000*1/h^10*(-2385*f(a+2*h)*h+460*f...
1/39916800*1/h^10*(f(b)-10*f(a+9*h)+45*f(a+8*h)+210*f(a+6*h)+210*f(a+4*h)+45*f(a+2*h)+f(a)-120*f(a+7*h)-252*f(a+5*h)-120*f(a+3*h)-10*f(a+h))*((a+10*h)^11-a^11)+1/36288000*1/h^10*(-2385*f(a+2*h)*h+460*f...
1/39916800*1/h^10*(f(b)-10*f(a+9*h)+45*f(a+8*h)+210*f(a+6*h)+210*f(a+4*h)+45*f(a+2*h)+f(a)-120*f(a+7*h)-252*f(a+5*h)-120*f(a+3*h)-10*f(a+h))*((a+10*h)^11-a^11)+1/36288000*1/h^10*(-2385*f(a+2*h)*h+460*f...
1/39916800*1/h^10*(f(b)-10*f(a+9*h)+45*f(a+8*h)+210*f(a+6*h)+210*f(a+4*h)+45*f(a+2*h)+f(a)-120*f(a+7*h)-252*f(a+5*h)-120*f(a+3*h)-10*f(a+h))*((a+10*h)^11-a^11)+1/36288000*1/h^10*(-2385*f(a+2*h)*h+460*f...
1/39916800*1/h^10*(f(b)-10*f(a+9*h)+45*f(a+8*h)+210*f(a+6*h)+210*f(a+4*h)+45*f(a+2*h)+f(a)-120*f(a+7*h)-252*f(a+5*h)-120*f(a+3*h)-10*f(a+h))*((a+10*h)^11-a^11)+1/36288000*1/h^10*(-2385*f(a+2*h)*h+460*f...
1/39916800*1/h^10*(f(b)-10*f(a+9*h)+45*f(a+8*h)+210*f(a+6*h)+210*f(a+4*h)+45*f(a+2*h)+f(a)-120*f(a+7*h)-252*f(a+5*h)-120*f(a+3*h)-10*f(a+h))*((a+10*h)^11-a^11)+1/36288000*1/h^10*(-2385*f(a+2*h)*h+460*f...
1/39916800*1/h^10*(f(b)-10*f(a+9*h)+45*f(a+8*h)+210*f(a+6*h)+210*f(a+4*h)+45*f(a+2*h)+f(a)-120*f(a+7*h)-252*f(a+5*h)-120*f(a+3*h)-10*f(a+h))*((a+10*h)^11-a^11)+1/36288000*1/h^10*(-2385*f(a+2*h)*h+460*f...
1/39916800*1/h^10*(f(b)-10*f(a+9*h)+45*f(a+8*h)+210*f(a+6*h)+210*f(a+4*h)+45*f(a+2*h)+f(a)-120*f(a+7*h)-252*f(a+5*h)-120*f(a+3*h)-10*f(a+h))*((a+10*h)^11-a^11)+1/36288000*1/h^10*(-2385*f(a+2*h)*h+460*f...
1/39916800*1/h^10*(f(b)-10*f(a+9*h)+45*f(a+8*h)+210*f(a+6*h)+210*f(a+4*h)+45*f(a+2*h)+f(a)-120*f(a+7*h)-252*f(a+5*h)-120*f(a+3*h)-10*f(a+h))*((a+10*h)^11-a^11)+1/36288000*1/h^10*(-2385*f(a+2*h)*h+460*f...
1/39916800*1/h^10*(f(b)-10*f(a+9*h)+45*f(a+8*h)+210*f(a+6*h)+210*f(a+4*h)+45*f(a+2*h)+f(a)-120*f(a+7*h)-252*f(a+5*h)-120*f(a+3*h)-10*f(a+h))*((a+10*h)^11-a^11)+1/36288000*1/h^10*(-2385*f(a+2*h)*h+460*f...
1/39916800*1/h^10*(f(b)-10*f(a+9*h)+45*f(a+8*h)+210*f(a+6*h)+210*f(a+4*h)+45*f(a+2*h)+f(a)-120*f(a+7*h)-252*f(a+5*h)-120*f(a+3*h)-10*f(a+h))*((a+10*h)^11-a^11)+1/36288000*1/h^10*(-2385*f(a+2*h)*h+460*f...
1/39916800*1/h^10*(f(b)-10*f(a+9*h)+45*f(a+8*h)+210*f(a+6*h)+210*f(a+4*h)+45*f(a+2*h)+f(a)-120*f(a+7*h)-252*f(a+5*h)-120*f(a+3*h)-10*f(a+h))*((a+10*h)^11-a^11)+1/36288000*1/h^10*(-2385*f(a+2*h)*h+460*f...
1/39916800*1/h^10*(f(b)-10*f(a+9*h)+45*f(a+8*h)+210*f(a+6*h)+210*f(a+4*h)+45*f(a+2*h)+f(a)-120*f(a+7*h)-252*f(a+5*h)-120*f(a+3*h)-10*f(a+h))*((a+10*h)^11-a^11)+1/36288000*1/h^10*(-2385*f(a+2*h)*h+460*f...
1/39916800*1/h^10*(f(b)-10*f(a+9*h)+45*f(a+8*h)+210*f(a+6*h)+210*f(a+4*h)+45*f(a+2*h)+f(a)-120*f(a+7*h)-252*f(a+5*h)-120*f(a+3*h)-10*f(a+h))*((a+10*h)^11-a^11)+1/36288000*1/h^10*(-2385*f(a+2*h)*h+460*f...
1/39916800*1/h^10*(f(b)-10*f(a+9*h)+45*f(a+8*h)+210*f(a+6*h)+210*f(a+4*h)+45*f(a+2*h)+f(a)-120*f(a+7*h)-252*f(a+5*h)-120*f(a+3*h)-10*f(a+h))*((a+10*h)^11-a^11)+1/36288000*1/h^10*(-2385*f(a+2*h)*h+460*f...
1/39916800*1/h^10*(f(b)-10*f(a+9*h)+45*f(a+8*h)+210*f(a+6*h)+210*f(a+4*h)+45*f(a+2*h)+f(a)-120*f(a+7*h)-252*f(a+5*h)-120*f(a+3*h)-10*f(a+h))*((a+10*h)^11-a^11)+1/36288000*1/h^10*(-2385*f(a+2*h)*h+460*f...
1/39916800*1/h^10*(f(b)-10*f(a+9*h)+45*f(a+8*h)+210*f(a+6*h)+210*f(a+4*h)+45*f(a+2*h)+f(a)-120*f(a+7*h)-252*f(a+5*h)-120*f(a+3*h)-10*f(a+h))*((a+10*h)^11-a^11)+1/36288000*1/h^10*(-2385*f(a+2*h)*h+460*f...
1/39916800*1/h^10*(f(b)-10*f(a+9*h)+45*f(a+8*h)+210*f(a+6*h)+210*f(a+4*h)+45*f(a+2*h)+f(a)-120*f(a+7*h)-252*f(a+5*h)-120*f(a+3*h)-10*f(a+h))*((a+10*h)^11-a^11)+1/36288000*1/h^10*(-2385*f(a+2*h)*h+460*f...
1/39916800*1/h^10*(f(b)-10*f(a+9*h)+45*f(a+8*h)+210*f(a+6*h)+210*f(a+4*h)+45*f(a+2*h)+f(a)-120*f(a+7*h)-252*f(a+5*h)-120*f(a+3*h)-10*f(a+h))*((a+10*h)^11-a^11)+1/36288000*1/h^10*(-2385*f(a+2*h)*h+460*f...
1/39916800*1/h^10*(f(b)-10*f(a+9*h)+45*f(a+8*h)+210*f(a+6*h)+210*f(a+4*h)+45*f(a+2*h)+f(a)-120*f(a+7*h)-252*f(a+5*h)-120*f(a+3*h)-10*f(a+h))*((a+10*h)^11-a^11)+1/36288000*1/h^10*(-2385*f(a+2*h)*h+460*f...
1/39916800*1/h^10*(f(b)-10*f(a+9*h)+45*f(a+8*h)+210*f(a+6*h)+210*f(a+4*h)+45*f(a+2*h)+f(a)-120*f(a+7*h)-252*f(a+5*h)-120*f(a+3*h)-10*f(a+h))*((a+10*h)^11-a^11)+1/36288000*1/h^10*(-2385*f(a+2*h)*h+460*f...
1/39916800*1/h^10*(f(b)-10*f(a+9*h)+45*f(a+8*h)+210*f(a+6*h)+210*f(a+4*h)+45*f(a+2*h)+f(a)-120*f(a+7*h)-252*f(a+5*h)-120*f(a+3*h)-10*f(a+h))*((a+10*h)^11-a^11)+1/36288000*1/h^10*(-2385*f(a+2*h)*h+460*f...
1/39916800*1/h^10*(f(b)-10*f(a+9*h)+45*f(a+8*h)+210*f(a+6*h)+210*f(a+4*h)+45*f(a+2*h)+f(a)-120*f(a+7*h)-252*f(a+5*h)-120*f(a+3*h)-10*f(a+h))*((a+10*h)^11-a^11)+1/36288000*1/h^10*(-2385*f(a+2*h)*h+460*f...
1/39916800*1/h^10*(f(b)-10*f(a+9*h)+45*f(a+8*h)+210*f(a+6*h)+210*f(a+4*h)+45*f(a+2*h)+f(a)-120*f(a+7*h)-252*f(a+5*h)-120*f(a+3*h)-10*f(a+h))*((a+10*h)^11-a^11)+1/36288000*1/h^10*(-2385*f(a+2*h)*h+460*f...
1/39916800*1/h^10*(f(b)-10*f(a+9*h)+45*f(a+8*h)+210*f(a+6*h)+210*f(a+4*h)+45*f(a+2*h)+f(a)-120*f(a+7*h)-252*f(a+5*h)-120*f(a+3*h)-10*f(a+h))*((a+10*h)^11-a^11)+1/36288000*1/h^10*(-2385*f(a+2*h)*h+460*f...
1/39916800*1/h^10*(f(b)-10*f(a+9*h)+45*f(a+8*h)+210*f(a+6*h)+210*f(a+4*h)+45*f(a+2*h)+f(a)-120*f(a+7*h)-252*f(a+5*h)-120*f(a+3*h)-10*f(a+h))*((a+10*h)^11-a^11)+1/36288000*1/h^10*(-2385*f(a+2*h)*h+460*f...
1/39916800*1/h^10*(f(b)-10*f(a+9*h)+45*f(a+8*h)+210*f(a+6*h)+210*f(a+4*h)+45*f(a+2*h)+f(a)-120*f(a+7*h)-252*f(a+5*h)-120*f(a+3*h)-10*f(a+h))*((a+10*h)^11-a^11)+1/36288000*1/h^10*(-2385*f(a+2*h)*h+460*f...
1/39916800*1/h^10*(f(b)-10*f(a+9*h)+45*f(a+8*h)+210*f(a+6*h)+210*f(a+4*h)+45*f(a+2*h)+f(a)-120*f(a+7*h)-252*f(a+5*h)-120*f(a+3*h)-10*f(a+h))*((a+10*h)^11-a^11)+1/36288000*1/h^10*(-2385*f(a+2*h)*h+460*f...
1/39916800*1/h^10*(f(b)-10*f(a+9*h)+45*f(a+8*h)+210*f(a+6*h)+210*f(a+4*h)+45*f(a+2*h)+f(a)-120*f(a+7*h)-252*f(a+5*h)-120*f(a+3*h)-10*f(a+h))*((a+10*h)^11-a^11)+1/36288000*1/h^10*(-2385*f(a+2*h)*h+460*f...
1/39916800*1/h^10*(f(b)-10*f(a+9*h)+45*f(a+8*h)+210*f(a+6*h)+210*f(a+4*h)+45*f(a+2*h)+f(a)-120*f(a+7*h)-252*f(a+5*h)-120*f(a+3*h)-10*f(a+h))*((a+10*h)^11-a^11)+1/36288000*1/h^10*(-2385*f(a+2*h)*h+460*f...
1/39916800*1/h^10*(f(b)-10*f(a+9*h)+45*f(a+8*h)+210*f(a+6*h)+210*f(a+4*h)+45*f(a+2*h)+f(a)-120*f(a+7*h)-252*f(a+5*h)-120*f(a+3*h)-10*f(a+h))*((a+10*h)^11-a^11)+1/36288000*1/h^10*(-2385*f(a+2*h)*h+460*f...
1/39916800*1/h^10*(f(b)-10*f(a+9*h)+45*f(a+8*h)+210*f(a+6*h)+210*f(a+4*h)+45*f(a+2*h)+f(a)-120*f(a+7*h)-252*f(a+5*h)-120*f(a+3*h)-10*f(a+h))*((a+10*h)^11-a^11)+1/36288000*1/h^10*(-2385*f(a+2*h)*h+460*f...
1/39916800*1/h^10*(f(b)-10*f(a+9*h)+45*f(a+8*h)+210*f(a+6*h)+210*f(a+4*h)+45*f(a+2*h)+f(a)-120*f(a+7*h)-252*f(a+5*h)-120*f(a+3*h)-10*f(a+h))*((a+10*h)^11-a^11)+1/36288000*1/h^10*(-2385*f(a+2*h)*h+460*f...
1/39916800*1/h^10*(f(b)-10*f(a+9*h)+45*f(a+8*h)+210*f(a+6*h)+210*f(a+4*h)+45*f(a+2*h)+f(a)-120*f(a+7*h)-252*f(a+5*h)-120*f(a+3*h)-10*f(a+h))*((a+10*h)^11-a^11)+1/36288000*1/h^10*(-2385*f(a+2*h)*h+460*f...
1/39916800*1/h^10*(f(b)-10*f(a+9*h)+45*f(a+8*h)+210*f(a+6*h)+210*f(a+4*h)+45*f(a+2*h)+f(a)-120*f(a+7*h)-252*f(a+5*h)-120*f(a+3*h)-10*f(a+h))*((a+10*h)^11-a^11)+1/36288000*1/h^10*(-2385*f(a+2*h)*h+460*f...
1/39916800*1/h^10*(f(b)-10*f(a+9*h)+45*f(a+8*h)+210*f(a+6*h)+210*f(a+4*h)+45*f(a+2*h)+f(a)-120*f(a+7*h)-252*f(a+5*h)-120*f(a+3*h)-10*f(a+h))*((a+10*h)^11-a^11)+1/36288000*1/h^10*(-2385*f(a+2*h)*h+460*f...
1/39916800*1/h^10*(f(b)-10*f(a+9*h)+45*f(a+8*h)+210*f(a+6*h)+210*f(a+4*h)+45*f(a+2*h)+f(a)-120*f(a+7*h)-252*f(a+5*h)-120*f(a+3*h)-10*f(a+h))*((a+10*h)^11-a^11)+1/36288000*1/h^10*(-2385*f(a+2*h)*h+460*f...
1/39916800*1/h^10*(f(b)-10*f(a+9*h)+45*f(a+8*h)+210*f(a+6*h)+210*f(a+4*h)+45*f(a+2*h)+f(a)-120*f(a+7*h)-252*f(a+5*h)-120*f(a+3*h)-10*f(a+h))*((a+10*h)^11-a^11)+1/36288000*1/h^10*(-2385*f(a+2*h)*h+460*f...
1/39916800*1/h^10*(f(b)-10*f(a+9*h)+45*f(a+8*h)+210*f(a+6*h)+210*f(a+4*h)+45*f(a+2*h)+f(a)-120*f(a+7*h)-252*f(a+5*h)-120*f(a+3*h)-10*f(a+h))*((a+10*h)^11-a^11)+1/36288000*1/h^10*(-2385*f(a+2*h)*h+460*f...
1/39916800*1/h^10*(f(b)-10*f(a+9*h)+45*f(a+8*h)+210*f(a+6*h)+210*f(a+4*h)+45*f(a+2*h)+f(a)-120*f(a+7*h)-252*f(a+5*h)-120*f(a+3*h)-10*f(a+h))*((a+10*h)^11-a^11)+1/36288000*1/h^10*(-2385*f(a+2*h)*h+460*f...
1/39916800*1/h^10*(f(b)-10*f(a+9*h)+45*f(a+8*h)+210*f(a+6*h)+210*f(a+4*h)+45*f(a+2*h)+f(a)-120*f(a+7*h)-252*f(a+5*h)-120*f(a+3*h)-10*f(a+h))*((a+10*h)^11-a^11)+1/36288000*1/h^10*(-2385*f(a+2*h)*h+460*f...
1/39916800*1/h^10*(f(b)-10*f(a+9*h)+45*f(a+8*h)+210*f(a+6*h)+210*f(a+4*h)+45*f(a+2*h)+f(a)-120*f(a+7*h)-252*f(a+5*h)-120*f(a+3*h)-10*f(a+h))*((a+10*h)^11-a^11)+1/36288000*1/h^10*(-2385*f(a+2*h)*h+460*f...
1/39916800*1/h^10*(f(b)-10*f(a+9*h)+45*f(a+8*h)+210*f(a+6*h)+210*f(a+4*h)+45*f(a+2*h)+f(a)-120*f(a+7*h)-252*f(a+5*h)-120*f(a+3*h)-10*f(a+h))*((a+10*h)^11-a^11)+1/36288000*1/h^10*(-2385*f(a+2*h)*h+460*f...
1/39916800*1/h^10*(f(b)-10*f(a+9*h)+45*f(a+8*h)+210*f(a+6*h)+210*f(a+4*h)+45*f(a+2*h)+f(a)-120*f(a+7*h)-252*f(a+5*h)-120*f(a+3*h)-10*f(a+h))*((a+10*h)^11-a^11)+1/36288000*1/h^10*(-2385*f(a+2*h)*h+460*f...
1/39916800*1/h^10*(f(b)-10*f(a+9*h)+45*f(a+8*h)+210*f(a+6*h)+210*f(a+4*h)+45*f(a+2*h)+f(a)-120*f(a+7*h)-252*f(a+5*h)-120*f(a+3*h)-10*f(a+h))*((a+10*h)^11-a^11)+1/36288000*1/h^10*(-2385*f(a+2*h)*h+460*f...
1/39916800*1/h^10*(f(b)-10*f(a+9*h)+45*f(a+8*h)+210*f(a+6*h)+210*f(a+4*h)+45*f(a+2*h)+f(a)-120*f(a+7*h)-252*f(a+5*h)-120*f(a+3*h)-10*f(a+h))*((a+10*h)^11-a^11)+1/36288000*1/h^10*(-2385*f(a+2*h)*h+460*f...
1/39916800*1/h^10*(f(b)-10*f(a+9*h)+45*f(a+8*h)+210*f(a+6*h)+210*f(a+4*h)+45*f(a+2*h)+f(a)-120*f(a+7*h)-252*f(a+5*h)-120*f(a+3*h)-10*f(a+h))*((a+10*h)^11-a^11)+1/36288000*1/h^10*(-2385*f(a+2*h)*h+460*f...
1/39916800*1/h^10*(f(b)-10*f(a+9*h)+45*f(a+8*h)+210*f(a+6*h)+210*f(a+4*h)+45*f(a+2*h)+f(a)-120*f(a+7*h)-252*f(a+5*h)-120*f(a+3*h)-10*f(a+h))*((a+10*h)^11-a^11)+1/36288000*1/h^10*(-2385*f(a+2*h)*h+460*f...
1/39916800*1/h^10*(f(b)-10*f(a+9*h)+45*f(a+8*h)+210*f(a+6*h)+210*f(a+4*h)+45*f(a+2*h)+f(a)-120*f(a+7*h)-252*f(a+5*h)-120*f(a+3*h)-10*f(a+h))*((a+10*h)^11-a^11)+1/36288000*1/h^10*(-2385*f(a+2*h)*h+460*f...
1/39916800*1/h^10*(f(b)-10*f(a+9*h)+45*f(a+8*h)+210*f(a+6*h)+210*f(a+4*h)+45*f(a+2*h)+f(a)-120*f(a+7*h)-252*f(a+5*h)-120*f(a+3*h)-10*f(a+h))*((a+10*h)^11-a^11)+1/36288000*1/h^10*(-2385*f(a+2*h)*h+460*f...
1/39916800*1/h^10*(f(b)-10*f(a+9*h)+45*f(a+8*h)+210*f(a+6*h)+210*f(a+4*h)+45*f(a+2*h)+f(a)-120*f(a+7*h)-252*f(a+5*h)-120*f(a+3*h)-10*f(a+h))*((a+10*h)^11-a^11)+1/36288000*1/h^10*(-2385*f(a+2*h)*h+460*f...
1/39916800*1/h^10*(f(b)-10*f(a+9*h)+45*f(a+8*h)+210*f(a+6*h)+210*f(a+4*h)+45*f(a+2*h)+f(a)-120*f(a+7*h)-252*f(a+5*h)-120*f(a+3*h)-10*f(a+h))*((a+10*h)^11-a^11)+1/36288000*1/h^10*(-2385*f(a+2*h)*h+460*f...
1/39916800*1/h^10*(f(b)-10*f(a+9*h)+45*f(a+8*h)+210*f(a+6*h)+210*f(a+4*h)+45*f(a+2*h)+f(a)-120*f(a+7*h)-252*f(a+5*h)-120*f(a+3*h)-10*f(a+h))*((a+10*h)^11-a^11)+1/36288000*1/h^10*(-2385*f(a+2*h)*h+460*f...
1/39916800*1/h^10*(f(b)-10*f(a+9*h)+45*f(a+8*h)+210*f(a+6*h)+210*f(a+4*h)+45*f(a+2*h)+f(a)-120*f(a+7*h)-252*f(a+5*h)-120*f(a+3*h)-10*f(a+h))*((a+10*h)^11-a^11)+1/36288000*1/h^10*(-2385*f(a+2*h)*h+460*f...

>    simplify(%, size);

5/299376*(16067*f(a)+106300*f(a+h)-48525*f(a+2*h)+272400*f(a+3*h)-260550*f(a+4*h)+427368*f(a+5*h)-260550*f(a+6*h)+272400*f(a+7*h)-48525*f(a+8*h)+106300*f(a+9*h)+16067*f(b))*h
5/299376*(16067*f(a)+106300*f(a+h)-48525*f(a+2*h)+272400*f(a+3*h)-260550*f(a+4*h)+427368*f(a+5*h)-260550*f(a+6*h)+272400*f(a+7*h)-48525*f(a+8*h)+106300*f(a+9*h)+16067*f(b))*h